DifferentiateW.r.t x. from Mathematics Continuity and Different

Previous Year Papers

Download Solved Question Papers Free for Offline Practice and view Solutions Online.

Test Series

Take Zigya Full and Sectional Test Series. Time it out for real assessment and get your results instantly.

Test Yourself

Practice and master your preparation for a specific topic or chapter. Check you scores at the end of the test.
Advertisement

 Multiple Choice QuestionsShort Answer Type

151. Differentiate the following w.r.t.x: straight e to the power of straight x cubed end exponent
90 Views

152. Differentiate the following w.r.t.x: square root of straight e to the power of square root of straight x end exponent end root comma straight X greater than 0
97 Views

153. Differentiate ex + ex2 +....+ ex5. w.r.t.x.
76 Views

154. Differentiate the following w.r.t.x :log (log x),x>1
94 Views

Advertisement
155. Differentiate the following w.r.t.x :log7 (log x)
133 Views

156. Differentiate (3x2 - 9 x + 5)9 w.r.t.x.
92 Views

157. Differentiatesquare root of 15 straight x squared minus straight x plus 1 end root straight w. straight r. straight t space straight x
86 Views

158. Differentiate space square root of 3 straight x plus 2 end root plus fraction numerator 1 over denominator square root of 2 straight x squared plus 4 end root end fraction straight w. straight r. straight t space space straight x.
90 Views

Advertisement
Advertisement

159. Differentiatesquare root of fraction numerator straight x minus 1 over denominator straight x plus 2 end fraction end rootW.r.t x.


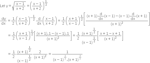
Let space straight y equals square root of fraction numerator straight x minus 1 over denominator straight x plus 2 end fraction end root equals open parentheses fraction numerator straight x minus 1 over denominator straight x plus 2 end fraction close parentheses to the power of 1 half end exponent
dy over dx equals 1 half open parentheses fraction numerator straight x minus 1 over denominator straight x plus 2 end fraction close parentheses to the power of negative 1 half end exponent straight d over dx open parentheses fraction numerator straight x minus 1 over denominator straight x plus 2 end fraction close parentheses equals 1 half open parentheses fraction numerator straight x plus 1 over denominator straight x minus 1 end fraction close parentheses to the power of 1 half end exponent open square brackets fraction numerator left parenthesis straight x plus 1 right parenthesis begin display style straight d over dx end style left parenthesis straight x minus 1 right parenthesis minus left parenthesis straight x minus 1 right parenthesis begin display style straight d over dx end style left parenthesis straight x plus 1 right parenthesis over denominator left parenthesis straight x plus 1 right parenthesis squared end fraction close square brackets
space space space space space space space space equals 1 half open parentheses fraction numerator straight x plus 1 over denominator straight x minus 1 end fraction close parentheses to the power of 1 half end exponent open square brackets fraction numerator left parenthesis straight x plus 1 right parenthesis.1 minus left parenthesis straight x minus 1 right parenthesis.1 over denominator left parenthesis straight x plus 1 right parenthesis squared end fraction close square brackets equals 1 half fraction numerator left parenthesis straight x plus 1 right parenthesis to the power of begin display style 1 half end style end exponent over denominator left parenthesis straight x minus 1 right parenthesis to the power of begin display style 1 half end style end exponent end fraction open square brackets fraction numerator straight x plus 1 minus straight x plus 1 over denominator left parenthesis straight x plus 1 right parenthesis squared end fraction close square brackets
space space space space space space space space equals 1 half fraction numerator left parenthesis straight x plus 1 right parenthesis to the power of begin display style 1 half end style end exponent over denominator left parenthesis straight x minus 1 right parenthesis to the power of begin display style 1 half end style end exponent end fraction fraction numerator 2 over denominator left parenthesis straight x plus 1 right parenthesis squared end fraction equals fraction numerator 1 over denominator left parenthesis straight x minus 1 right parenthesis to the power of 1 half end exponent. left parenthesis straight x plus 1 right parenthesis to the power of 3 over 2 end exponent end fraction
84 Views

Advertisement
160. Differentiate the following w.r.t.x:left parenthesis 4 straight x cubed minus 5 straight x squared plus 1 right parenthesis to the power of 4
91 Views

Advertisement