Differentiate the following w.r.t.x:  from Mathematics Continu

Previous Year Papers

Download Solved Question Papers Free for Offline Practice and view Solutions Online.

Test Series

Take Zigya Full and Sectional Test Series. Time it out for real assessment and get your results instantly.

Test Yourself

Practice and master your preparation for a specific topic or chapter. Check you scores at the end of the test.
Advertisement

 Multiple Choice QuestionsShort Answer Type

181. Differentiate the following w.r.t.x:square root of log space left parenthesis straight x cubed plus straight e to the power of straight x right parenthesis end root
87 Views

182. Differentiate the following w.r.t.x: square root of log space left parenthesis logx right parenthesis end root
86 Views

183. Differentiate the following w.r.t.x:log open square brackets straight e to the power of 3 straight x end exponent open parentheses fraction numerator 5 straight x minus 3 over denominator 4 straight x plus 2 end fraction close parentheses to the power of 1 third end exponent close square brackets
84 Views

184. Differentiate the following w.r.t.x:log open parentheses straight x plus 2 plus square root of straight x squared plus 4 straight x plus 1 end root close parentheses
85 Views

Advertisement
185. Differentiate the following w.r.t.x: log open parentheses straight x plus square root of 1 plus straight x squared end root close parentheses
88 Views

186. Differentiate the following w.r.t.x: log open parentheses square root of straight x minus straight a end root plus square root of straight x minus straight b end root close parentheses
75 Views

 Multiple Choice QuestionsLong Answer Type

187. Differentiate the following w.r.t.x: log open parentheses fraction numerator square root of straight a plus straight x end root plus square root of straight a minus straight x end root over denominator square root of straight a plus straight x end root minus square root of straight a minus straight x end root end fraction close parentheses
74 Views

 Multiple Choice QuestionsShort Answer Type

Advertisement

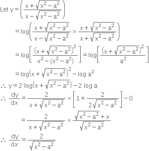
188. Differentiate the following w.r.t.x: open parentheses fraction numerator straight x plus square root of straight x squared minus straight a squared end root over denominator straight x minus square root of straight x squared minus straight a squared end root end fraction close parentheses


Let space straight y equals open parentheses fraction numerator straight x plus square root of straight x squared minus straight a squared end root over denominator straight x minus square root of straight x squared minus straight a squared end root end fraction close parentheses
space space space space space space space space space equals log open parentheses fraction numerator straight x plus square root of straight x squared minus straight a squared end root over denominator straight x minus square root of straight x squared minus straight a squared end root end fraction cross times fraction numerator straight x plus square root of straight x squared minus straight a squared end root over denominator straight x plus square root of straight x squared minus straight a squared end root end fraction close parentheses
space space space space space space space space space equals log open square brackets fraction numerator open parentheses straight x plus square root of straight x squared minus straight a squared end root close parentheses squared over denominator straight x squared minus left parenthesis straight x squared minus straight a squared right parenthesis end fraction close square brackets equals log open square brackets open parentheses straight x plus square root of straight x squared minus straight a squared end root close parentheses squared over straight a squared close square brackets
space space space space space space space space space equals log open parentheses straight x plus square root of straight x squared minus straight a squared end root close parentheses squared minus log space straight a squared
therefore space straight y equals 2 space log open parentheses straight x plus square root of straight x squared minus straight a squared end root close parentheses minus 2 space log space straight a
therefore space dy over dx equals fraction numerator 2 over denominator straight x plus square root of straight x squared minus straight a squared end root end fraction cross times open square brackets 1 plus fraction numerator 2 over denominator 2 square root of straight x squared minus straight a squared end root end fraction close square brackets minus 0
space space space space space space space space space space space space space equals fraction numerator 2 over denominator straight x plus square root of straight x squared minus straight a squared end root end fraction cross times fraction numerator square root of straight x squared minus straight a squared end root plus straight x over denominator square root of straight x squared minus straight a squared end root end fraction
therefore space dy over dx equals fraction numerator 2 over denominator square root of straight x squared minus straight a squared end root end fraction
73 Views

Advertisement
Advertisement
189. Differentiate : 5 to the power of square root of straight x squared plus 1 end root end exponent plus open parentheses square root of straight x squared plus 1 end root close parentheses to the power of 5w.r.t x.
83 Views

190. Differentiate : straight x square root of straight x squared plus 1 end root plus log open parentheses square root of straight x squared plus 1 end root close parentheses w.r.t x.
76 Views

Advertisement