from Mathematics Continuity and Differentiability

Previous Year Papers

Download Solved Question Papers Free for Offline Practice and view Solutions Online.

Test Series

Take Zigya Full and Sectional Test Series. Time it out for real assessment and get your results instantly.

Test Yourself

Practice and master your preparation for a specific topic or chapter. Check you scores at the end of the test.
Advertisement

 Multiple Choice QuestionsShort Answer Type

231. If space straight y equals square root of straight x plus square root of straight x plus square root of straight x plus......... infinity end root end root end root comma show space that space left parenthesis 2 straight y minus 1 right parenthesis dy over dx equals 1
94 Views

232. If space straight y equals square root of log space straight x plus square root of log space straight x plus square root of log space straight x plus........ infinity end root end root end root comma space prove space that space left parenthesis 2 straight y minus 1 right parenthesis dy over dx equals 1 over straight x
84 Views

233. If space straight y square root of straight x squared plus 1 end root equals log open parentheses straight x plus square root of straight x squared plus 1 end root close parentheses comma space show space that space left parenthesis straight x squared plus 1 right parenthesis dy over dx plus xy minus 1 equals 0
77 Views

234. If space straight e to the power of straight x plus straight e to the power of straight y equals straight e to the power of straight x plus straight y comma end exponent prove space that space dy over dx equals negative fraction numerator straight e to the power of straight x left parenthesis straight e to the power of straight y minus 1 right parenthesis over denominator straight e to the power of straight y left parenthesis straight e to the power of straight y minus 1 right parenthesis end fraction
73 Views

Advertisement
235. If space straight y equals straight x plus fraction numerator 1 over denominator straight x plus begin display style fraction numerator 1 over denominator straight x plus... end fraction end style end fraction comma space prove space that space dy over dx equals fraction numerator straight y over denominator 2 straight y minus straight x end fraction.
85 Views

Advertisement

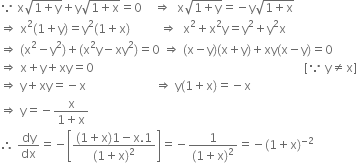
236. If space straight x square root of 1 plus straight y end root plus straight y square root of 1 plus straight x end root equals 0 comma space show space that space dy over dx equals negative left parenthesis 1 plus straight x right parenthesis to the power of negative 2 end exponent


because space straight x square root of 1 plus straight y end root plus straight y square root of 1 plus straight x end root equals 0 space space space space rightwards double arrow space space straight x square root of 1 plus straight y end root equals negative straight y square root of 1 plus straight x end root
rightwards double arrow space straight x squared left parenthesis 1 plus straight y right parenthesis equals straight y squared left parenthesis 1 plus straight x right parenthesis space space space space space space space space space space rightwards double arrow space space straight x squared plus straight x squared straight y equals straight y squared plus straight y squared straight x
rightwards double arrow space left parenthesis straight x squared minus straight y squared right parenthesis plus left parenthesis straight x squared straight y minus xy squared right parenthesis equals 0 space rightwards double arrow space left parenthesis straight x minus straight y right parenthesis left parenthesis straight x plus straight y right parenthesis plus xy left parenthesis straight x minus straight y right parenthesis equals 0
rightwards double arrow space straight x plus straight y plus xy equals 0 space space space space space space space space space space space space space space space space space space space space space space space space space space space space space space space space space space space space space space space space space space space space space space space space space space space space space space space space space space space space space space space space space space space space space space left square bracket because space straight y not equal to straight x right square bracket
rightwards double arrow space straight y plus xy equals negative straight x space space space space space space space space space space space space space space space space space space space space space space space rightwards double arrow space straight y left parenthesis 1 plus straight x right parenthesis equals negative straight x
rightwards double arrow space straight y equals negative fraction numerator straight x over denominator 1 plus straight x end fraction
therefore space dy over dx equals negative open square brackets fraction numerator left parenthesis 1 plus straight x right parenthesis 1 minus straight x.1 over denominator left parenthesis 1 plus straight x right parenthesis squared end fraction close square brackets equals negative fraction numerator 1 over denominator left parenthesis 1 plus straight x right parenthesis squared end fraction equals negative left parenthesis 1 plus straight x right parenthesis to the power of negative 2 end exponent
78 Views

Advertisement
237. If space space ax squared plus 2 hxy plus by squared space equals space 1 comma space verify space that space dy over dx cross times dx over dy equals 1
74 Views

238. Differentiate xx w.r.t.x.
89 Views

Advertisement
239.

Differentiate (ax)x w.r.t.x.

83 Views

240. Differentiate the following w.r.t.x:
 open parentheses 1 over straight x close parentheses to the power of straight x
84 Views

Advertisement