from Mathematics Continuity and Differentiability

Previous Year Papers

Download Solved Question Papers Free for Offline Practice and view Solutions Online.

Test Series

Take Zigya Full and Sectional Test Series. Time it out for real assessment and get your results instantly.

Test Yourself

Practice and master your preparation for a specific topic or chapter. Check you scores at the end of the test.
Advertisement

 Multiple Choice QuestionsShort Answer Type

251. If space straight x to the power of straight y equals straight y to the power of straight x comma space prove space that space dy over dx equals fraction numerator begin display style straight y over straight x end style minus log space straight y over denominator begin display style straight x over straight y end style minus log space straight x end fraction
83 Views

252. If space straight y equals straight x to the power of straight y comma space prove space that space dy over dx equals fraction numerator straight y squared over denominator straight x left parenthesis 1 minus straight y space log space straight x right parenthesis end fraction.
88 Views

253. Find space dy over dx when space xy equals straight e to the power of straight x minus straight y end exponent.
87 Views

254. <pre>uncaught exception: <b>file_put_contents(/home/config_admin/public/felixventures.in/public/application/css/plugins/tiny_mce_wiris/integration/lib/com/wiris/plugin/web/../../../../../../formulas/64/ea/07693cdc340768600ec4c104b639.ini): failed to open stream: Permission denied (errno: 2) in /home/config_admin/public/felixventures.in/public/application/css/plugins/tiny_mce_wiris/integration/lib/sys/io/File.class.php at line #12file_put_contents(/home/config_admin/public/felixventures.in/public/application/css/plugins/tiny_mce_wiris/integration/lib/com/wiris/plugin/web/../../../../../../formulas/64/ea/07693cdc340768600ec4c104b639.ini): failed to open stream: Permission denied</b><br /><br />in file: /home/config_admin/public/felixventures.in/public/application/css/plugins/tiny_mce_wiris/integration/lib/sys/io/File.class.php line 12<br />#0 [internal function]: _hx_error_handler(2, 'file_put_conten...', '/home/config_ad...', 12, Array)
#1 /home/config_admin/public/felixventures.in/public/application/css/plugins/tiny_mce_wiris/integration/lib/sys/io/File.class.php(12): file_put_contents('/home/config_ad...', 'mml=<math xmlns...')
#2 /home/config_admin/public/felixventures.in/public/application/css/plugins/tiny_mce_wiris/integration/lib/com/wiris/util/sys/Store.class.php(48): sys_io_File::saveContent('/home/config_ad...', 'mml=<math xmlns...')
#3 /home/config_admin/public/felixventures.in/public/application/css/plugins/tiny_mce_wiris/integration/lib/com/wiris/plugin/impl/FolderTreeStorageAndCache.class.php(112): com_wiris_util_sys_Store->write('mml=<math xmlns...')
#4 /home/config_admin/public/felixventures.in/public/application/css/plugins/tiny_mce_wiris/integration/lib/com/wiris/plugin/impl/RenderImpl.class.php(231): com_wiris_plugin_impl_FolderTreeStorageAndCache->codeDigest('mml=<math xmlns...')
#5 /home/config_admin/public/felixventures.in/public/application/css/plugins/tiny_mce_wiris/integration/lib/com/wiris/plugin/impl/TextServiceImpl.class.php(59): com_wiris_plugin_impl_RenderImpl->computeDigest(NULL, Array)
#6 /home/config_admin/public/felixventures.in/public/application/css/plugins/tiny_mce_wiris/integration/service.php(19): com_wiris_plugin_impl_TextServiceImpl->service('mathml2accessib...', Array)
#7 {main}</pre>
89 Views

Advertisement
255. If space straight y equals square root of fraction numerator 1 minus straight x over denominator 1 plus straight x end fraction end root comma space prove space that space left parenthesis 1 minus straight x squared right parenthesis dy over dx plus straight y equals 0
90 Views

256. If space straight f left parenthesis straight x right parenthesis equals open parentheses fraction numerator 3 plus straight x over denominator 1 plus straight x end fraction close parentheses to the power of 2 plus 3 straight x end exponent comma space find space straight f apostrophe left parenthesis 0 right parenthesis
83 Views

257. Differentiate space square root of fraction numerator left parenthesis straight x minus 3 right parenthesis left parenthesis straight x squared plus 4 right parenthesis over denominator 3 straight x squared plus 4 straight x plus 5 end fraction end root straight w. straight r. straight t. straight x
79 Views

Advertisement

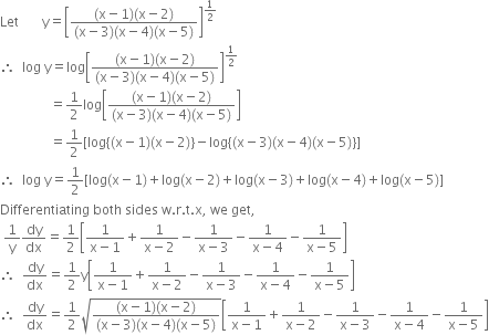
258. Differentiate space square root of fraction numerator left parenthesis straight x minus 1 right parenthesis left parenthesis straight x minus 2 right parenthesis over denominator left parenthesis straight x minus 3 right parenthesis left parenthesis straight x minus 4 right parenthesis left parenthesis straight x minus 5 right parenthesis end fraction end root straight w. straight r. straight t. straight x


Let space space space space space space space straight y equals open square brackets fraction numerator left parenthesis straight x minus 1 right parenthesis left parenthesis straight x minus 2 right parenthesis over denominator left parenthesis straight x minus 3 right parenthesis left parenthesis straight x minus 4 right parenthesis left parenthesis straight x minus 5 right parenthesis end fraction close square brackets to the power of 1 half end exponent
therefore space space log space straight y equals log open square brackets fraction numerator left parenthesis straight x minus 1 right parenthesis left parenthesis straight x minus 2 right parenthesis over denominator left parenthesis straight x minus 3 right parenthesis left parenthesis straight x minus 4 right parenthesis left parenthesis straight x minus 5 right parenthesis end fraction close square brackets to the power of 1 half end exponent
space space space space space space space space space space space space space space space equals 1 half log open square brackets fraction numerator left parenthesis straight x minus 1 right parenthesis left parenthesis straight x minus 2 right parenthesis over denominator left parenthesis straight x minus 3 right parenthesis left parenthesis straight x minus 4 right parenthesis left parenthesis straight x minus 5 right parenthesis end fraction close square brackets
space space space space space space space space space space space space space space space equals 1 half left square bracket log left curly bracket left parenthesis straight x minus 1 right parenthesis left parenthesis straight x minus 2 right parenthesis right curly bracket minus log left curly bracket left parenthesis straight x minus 3 right parenthesis left parenthesis straight x minus 4 right parenthesis left parenthesis straight x minus 5 right parenthesis right curly bracket right square bracket
therefore space space log space straight y equals 1 half left square bracket log left parenthesis straight x minus 1 right parenthesis plus log left parenthesis straight x minus 2 right parenthesis plus log left parenthesis straight x minus 3 right parenthesis plus log left parenthesis straight x minus 4 right parenthesis plus log left parenthesis straight x minus 5 right parenthesis right square bracket
Differentiating space both space sides space straight w. straight r. straight t. straight x comma space we space get comma
space 1 over straight y dy over dx equals 1 half open square brackets fraction numerator 1 over denominator straight x minus 1 end fraction plus fraction numerator 1 over denominator straight x minus 2 end fraction minus fraction numerator 1 over denominator straight x minus 3 end fraction minus fraction numerator 1 over denominator straight x minus 4 end fraction minus fraction numerator 1 over denominator straight x minus 5 end fraction close square brackets
therefore space space dy over dx equals 1 half straight y open square brackets fraction numerator 1 over denominator straight x minus 1 end fraction plus fraction numerator 1 over denominator straight x minus 2 end fraction minus fraction numerator 1 over denominator straight x minus 3 end fraction minus fraction numerator 1 over denominator straight x minus 4 end fraction minus fraction numerator 1 over denominator straight x minus 5 end fraction close square brackets
therefore space space dy over dx equals 1 half square root of fraction numerator left parenthesis straight x minus 1 right parenthesis left parenthesis straight x minus 2 right parenthesis over denominator left parenthesis straight x minus 3 right parenthesis left parenthesis straight x minus 4 right parenthesis left parenthesis straight x minus 5 right parenthesis end fraction end root open square brackets fraction numerator 1 over denominator straight x minus 1 end fraction plus fraction numerator 1 over denominator straight x minus 2 end fraction minus fraction numerator 1 over denominator straight x minus 3 end fraction minus fraction numerator 1 over denominator straight x minus 4 end fraction minus fraction numerator 1 over denominator straight x minus 5 end fraction close square brackets
91 Views

Advertisement
Advertisement
259. Differentiate : (x + 3)2 (x + 4)3 (x + 5)4.w.r.t.x.
81 Views

260.

Find the derivative of the function given by

f(x)=(1 + x)(1 + x2)(1 + x4)(1 + x8)and hence find f'(1).

 
73 Views

Advertisement