from Mathematics Continuity and Differentiability

Previous Year Papers

Download Solved Question Papers Free for Offline Practice and view Solutions Online.

Test Series

Take Zigya Full and Sectional Test Series. Time it out for real assessment and get your results instantly.

Test Yourself

Practice and master your preparation for a specific topic or chapter. Check you scores at the end of the test.
Advertisement

 Multiple Choice QuestionsShort Answer Type

311. Differentiate the following functions w.r.t.x: log open parentheses square root of fraction numerator 1 minus cos space straight x over denominator 1 plus cos space straight x end fraction end root close parentheses
87 Views

312. Differentiate :log space sin square root of straight x squared plus 1 end root
84 Views

Advertisement

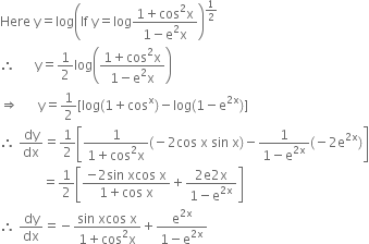
313.  If space straight y equals log square root of fraction numerator 1 plus cos squared straight x over denominator 1 minus straight e squared straight x end fraction end root comma space find space dy over dx


Here space straight y equals log open parentheses If space straight y equals log fraction numerator 1 plus cos squared straight x over denominator 1 minus straight e squared straight x end fraction close parentheses to the power of 1 half end exponent
therefore space space space space space space straight y equals 1 half log open parentheses fraction numerator 1 plus cos squared straight x over denominator 1 minus straight e squared straight x end fraction close parentheses
rightwards double arrow space space space space space space straight y equals 1 half left square bracket log left parenthesis 1 plus cos to the power of straight x right parenthesis minus log left parenthesis 1 minus straight e to the power of 2 straight x end exponent right parenthesis right square bracket
therefore space dy over dx equals 1 half open square brackets fraction numerator 1 over denominator 1 plus cos squared straight x end fraction left parenthesis negative 2 cos space straight x space sin space straight x right parenthesis minus fraction numerator 1 over denominator 1 minus straight e to the power of 2 straight x end exponent end fraction left parenthesis negative 2 straight e to the power of 2 straight x end exponent right parenthesis close square brackets
space space space space space space space space space space space space space equals 1 half open square brackets fraction numerator negative 2 sin space xcos space straight x over denominator 1 plus cos space straight x end fraction plus fraction numerator 2 straight e 2 straight x over denominator 1 minus straight e to the power of 2 straight x end exponent end fraction close square brackets
therefore space dy over dx equals negative fraction numerator sin space xcos space straight x over denominator 1 plus cos squared straight x end fraction plus fraction numerator straight e to the power of 2 straight x end exponent over denominator 1 minus straight e to the power of 2 straight x end exponent end fraction
85 Views

Advertisement
314. If space equals log square root of fraction numerator 1 plus sin squared straight x over denominator 1 minus tan space straight x end fraction end root comma space find space dy over dx.
87 Views

Advertisement
315. Differentiate the following functions w.r.t.x:square root of 1 plus tan space straight x end root
79 Views

316. Differentiate the following functions w.r.t.x:square root of 1 plus cot space straight x end root
78 Views

317. Differentiate the following functions w.r.t.x:sin space 2 straight x. cos space 3 straight x
83 Views

318. Differentiate the following functions w.r.t.x: straight x space cot cubed straight x
87 Views

Advertisement
319. Differentiate the following functions w.r.t.x:straight e to the power of negative straight x squared end exponent. sin left parenthesis log space straight x right parenthesis
82 Views

320. Differentiate the following functions w.r.t.x: straight e to the power of sin space straight x end exponent. sine to the power of straight x
86 Views

Advertisement