If sin y=x sin(a+y), then prove that from Mathematics Continuit

Previous Year Papers

Download Solved Question Papers Free for Offline Practice and view Solutions Online.

Test Series

Take Zigya Full and Sectional Test Series. Time it out for real assessment and get your results instantly.

Test Yourself

Practice and master your preparation for a specific topic or chapter. Check you scores at the end of the test.
Advertisement

 Multiple Choice QuestionsShort Answer Type

331. Differentiate the following w.r.t.x:square root of fraction numerator 1 minus tan space straight x over denominator 1 plus tan space straight x end fraction end root
84 Views

332. Differentiate the following w.r.t.x:square root of fraction numerator 1 plus tan space straight x over denominator 1 minus tan space straight x end fraction end root
80 Views

333. Differentiate the following w.r.t.x: square root of fraction numerator cos space straight x minus sin space straight x over denominator cos space straight x plus sin space straight x end fraction end root
88 Views

334. Differentiate the following w.r.t.x:fraction numerator cot squared straight x minus 1 over denominator cot squared straight x plus 1 end fraction
80 Views

Advertisement
335. Differentiate the following w.r.t.x: square root of fraction numerator 1 minus sin space straight x over denominator 1 plus sin space straight x end fraction end root.
84 Views

336. If space straight y equals square root of fraction numerator 1 minus sin space 2 straight x over denominator 1 plus sin space 2 straight x end fraction end root comma space show space that space dy over dx plus sec squared open parentheses straight pi over 4 minus straight x close parentheses equals 0
82 Views

337. Differentiate :
log square root of fraction numerator 1 plus sin space straight x over denominator 1 minus sin space straight x end fraction end root w.r.t.x.
80 Views

338. Given space that space cos space straight x over 2. cos space straight x over 2. cos straight x over 8.... equals fraction numerator sin space straight x over denominator straight x end fraction comma space prove space that
1 over 2 squared sec squared straight x over 2 plus 1 over 2 to the power of 4 sec squared straight x over 4 plus..... equals cosec squared straight x minus 1 over straight x squared
89 Views

Advertisement
339. If sin x = y sin (x + b), show that dy over dx equals fraction numerator sin space straight b over denominator sin squared left parenthesis straight x plus straight b right parenthesis end fraction
91 Views

Advertisement

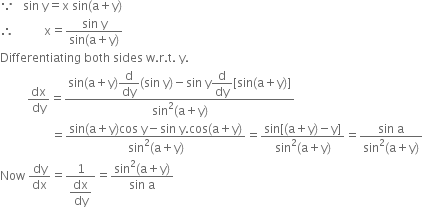
340. If sin y=x sin(a+y), then prove thatdy over dx equals fraction numerator sin squared left parenthesis straight a plus straight y right parenthesis over denominator sin space straight a end fraction


because space space space sin space straight y equals straight x space sin left parenthesis straight a plus straight y right parenthesis
therefore space space space space space space space space space space straight x equals fraction numerator sin space straight y over denominator sin left parenthesis straight a plus straight y right parenthesis end fraction
Differentiating space both space sides space straight w. straight r. straight t. space straight y.
space space space space space space space space space dx over dy equals fraction numerator sin left parenthesis straight a plus straight y right parenthesis begin display style straight d over dy end style left parenthesis sin space straight y right parenthesis minus sin space straight y begin display style straight d over dy end style left square bracket sin left parenthesis straight a plus straight y right parenthesis right square bracket over denominator sin squared left parenthesis straight a plus straight y right parenthesis end fraction
space space space space space space space space space space space space space space space space space equals fraction numerator sin left parenthesis straight a plus straight y right parenthesis cos space straight y minus sin space straight y. cos left parenthesis straight a plus straight y right parenthesis over denominator sin squared left parenthesis straight a plus straight y right parenthesis end fraction equals fraction numerator sin left square bracket left parenthesis straight a plus straight y right parenthesis minus straight y right square bracket over denominator sin squared left parenthesis straight a plus straight y right parenthesis end fraction equals fraction numerator sin space straight a over denominator sin squared left parenthesis straight a plus straight y right parenthesis end fraction
Now space dy over dx equals fraction numerator 1 over denominator begin display style dx over dy end style end fraction equals fraction numerator sin squared left parenthesis straight a plus straight y right parenthesis over denominator sin space straight a end fraction
91 Views

Advertisement
Advertisement