If x=a sin 2t(1+os2t) and y=b cos2t(1-cos2t), show that from Ma

Previous Year Papers

Download Solved Question Papers Free for Offline Practice and view Solutions Online.

Test Series

Take Zigya Full and Sectional Test Series. Time it out for real assessment and get your results instantly.

Test Yourself

Practice and master your preparation for a specific topic or chapter. Check you scores at the end of the test.
Advertisement

 Multiple Choice QuestionsShort Answer Type

361. If space straight x equals straight a left parenthesis straight theta plus sinθ right parenthesis comma space straight y equals straight a left parenthesis 1 minus cosθ right parenthesis comma space fimd space dy over dx at space straight theta equals straight pi over 2.
87 Views

Advertisement

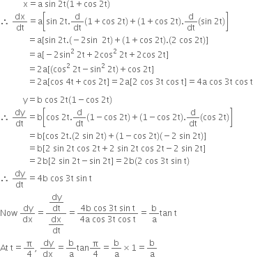
362. If x=a sin 2t(1+os2t) and y=b cos2t(1-cos2t), show that
open parentheses dy over dx close parentheses subscript straight t equals straight pi over 2 end subscript equals straight b over straight a.


space space space space space space space space space space space straight x equals straight a space sin space 2 straight t left parenthesis 1 plus cos space 2 straight t right parenthesis
therefore space dx over dt equals straight a open square brackets sin space 2 straight t. straight d over dt left parenthesis 1 plus cos space 2 straight t right parenthesis plus left parenthesis 1 plus cos space 2 straight t right parenthesis. straight d over dt left parenthesis sin space 2 straight t right parenthesis close square brackets
space space space space space space space space space space space space space equals straight a left square bracket sin space 2 straight t. left parenthesis negative 2 sin space space 2 straight t right parenthesis plus left parenthesis 1 plus cos space 2 straight t right parenthesis. left parenthesis 2 space cos space 2 straight t right parenthesis right square bracket
space space space space space space space space space space space space space equals straight a left square bracket negative 2 sin squared space 2 straight t plus 2 cos squared space 2 straight t plus 2 cos space 2 straight t right square bracket
space space space space space space space space space space space space space equals 2 straight a left square bracket left parenthesis cos squared space 2 straight t minus sin squared space 2 straight t right parenthesis plus cos space 2 straight t right square bracket
space space space space space space space space space space space space space equals 2 straight a left square bracket cos space 4 straight t plus cos space 2 straight t right square bracket equals 2 straight a left square bracket 2 space cos space 3 straight t space cos space straight t right square bracket equals 4 straight a space cos space 3 straight t space cos space straight t

space space space space space space space space space space space straight y equals straight b space cos space 2 straight t left parenthesis 1 minus cos space 2 straight t right parenthesis
therefore space dy over dt equals straight b open square brackets cos space 2 straight t. straight d over dt left parenthesis 1 minus cos space 2 straight t right parenthesis plus left parenthesis 1 minus cos space 2 straight t right parenthesis. straight d over dt left parenthesis cos space 2 straight t right parenthesis close square brackets
space space space space space space space space space space space space space equals straight b left square bracket cos space 2 straight t. left parenthesis 2 space sin space 2 straight t right parenthesis plus left parenthesis 1 minus cos space 2 straight t right parenthesis left parenthesis negative 2 space sin space 2 straight t right parenthesis right square bracket
space space space space space space space space space space space space space equals straight b left square bracket 2 space sin space 2 straight t space cos space 2 straight t plus 2 space sin space 2 straight t space cos space 2 straight t minus 2 space sin space 2 straight t right square bracket
space space space space space space space space space space space space space equals 2 straight b left square bracket 2 space sin space 2 straight t minus sin space 2 straight t right square bracket equals 2 straight b left parenthesis 2 space cos space 3 straight t space sin space straight t right parenthesis
therefore space dy over dt equals 4 straight b space cos space 3 straight t space sin space straight t
Now space dy over dx equals fraction numerator begin display style dy over dt end style over denominator begin display style dx over dt end style end fraction equals fraction numerator 4 straight b space cos space 3 straight t space sin space straight t over denominator 4 straight a space cos space 3 straight t space cos space straight t end fraction equals straight b over straight a tan space straight t
At space straight t equals straight pi over 4 comma space dy over dx equals straight b over straight a tan straight pi over 4 equals straight b over straight a cross times 1 equals straight b over straight a
79 Views

Advertisement
363. FInd space dy over dx
x equals straight a open parentheses cos space straight t plus log space tan straight t over 2 close parentheses comma space straight y equals straight a space sin space straight t.
101 Views

364. Find space dy over dx space when space straight x space equals straight a space cosө comma space straight y space equals straight b space cosө space
85 Views

Advertisement
365. Find space dy over dx space when space straight x equals sin space straight t comma space straight y space equals cos space 2 straight t
87 Views

366. Find space dy over dx when space straight x equals straight a space secө comma space straight y equals straight b space tanө space
80 Views

367. Find space dy over dx when space straight x equals cosө minus cos 2 straight ө comma space straight y equals sinө minus sin 2 straight ө
87 Views

368. Find space dy over dx when space straight x equals straight a left parenthesis straight ө minus sinө right parenthesis space comma straight y equals straight a left parenthesis 1 plus cosө right parenthesis
92 Views

Advertisement
369. Find space dy over dx when space straight x space equals straight a space left parenthesis cosө plus straight ө space sinө right parenthesis comma space straight y space equals space straight a space left parenthesis sinө space minus space straight ө space cosө right parenthesis
85 Views

 Multiple Choice QuestionsLong Answer Type

370. Find space dy over dx when space straight x equals fraction numerator sin cubed straight t over denominator square root of cos space 2 straight t end root end fraction comma space straight y equals fraction numerator cos cubed straight t over denominator square root of cos space 2 straight t end root end fraction
85 Views

Advertisement