from Mathematics Continuity and Differentiability

Previous Year Papers

Download Solved Question Papers Free for Offline Practice and view Solutions Online.

Test Series

Take Zigya Full and Sectional Test Series. Time it out for real assessment and get your results instantly.

Test Yourself

Practice and master your preparation for a specific topic or chapter. Check you scores at the end of the test.
Advertisement

 Multiple Choice QuestionsShort Answer Type

441. Differentiate the following functions w.r.t.x: cot to the power of negative 1 end exponent left parenthesis cosec space straight x plus cot space straight x right parenthesis
92 Views

442. Differentiate the following functions w.r.t.x: cos to the power of negative 1 end exponent left parenthesis sin space straight x right parenthesis
79 Views

443. Find space dy over dx comma space when space straight y equals sin to the power of negative 1 end exponent straight x plus sin to the power of negative 1 end exponent square root of 1 minus straight x squared end root.
85 Views

Advertisement

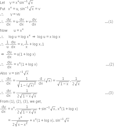
444. Differentiate space straight x to the power of straight x sin to the power of negative 1 end exponent square root of straight x space straight w. straight r. straight t. straight x.


Let space space space space space straight y equals straight x to the power of straight x sin to the power of negative 1 end exponent square root of straight x
Put space space space straight x to the power of straight x equals straight u comma space sin to the power of negative 1 end exponent square root of straight x equals straight v
therefore space space space space space space space straight y equals vu
therefore space dy over dx equals straight u dv over dx plus straight v dv over dx space space space space space space space space space space space space space space space space space space space space space space space space space space space space space space space space space space space space space space space space space space space space space space space space space space space space space space space space space space space space space space space space space space space space space space space space space space space space... left parenthesis 1 right parenthesis
Now space space space space space space space straight u equals straight x to the power of straight x
therefore space space space space space log space straight u equals log space straight x to the power of straight x space rightwards double arrow space log space straight u equals straight x space log space straight x
therefore space 1 over straight u du over dx equals straight x.1 over straight x plus log space straight x.1
rightwards double arrow space du over dx equals straight u left parenthesis 1 plus log space straight x right parenthesis
therefore space space du over dx equals straight x to the power of straight x left parenthesis 1 plus log space straight x right parenthesis space space space space space space space space space space space space space space space space space space space space space space space space space space space space space space space space space space space space space space space space space space space space space space space space space space space space space space space space space space space space space space space space space space space space space space space space space space space space space... left parenthesis 2 right parenthesis
Also space space straight v equals sin to the power of negative 1 end exponent square root of straight x
therefore space dv over dx equals fraction numerator 1 over denominator square root of 1 minus open parentheses square root of straight x close parentheses squared end root end fraction straight d over dx open parentheses square root of straight x close parentheses equals fraction numerator 1 over denominator square root of 1 minus straight x end root end fraction. fraction numerator 1 over denominator 2 square root of straight x end fraction
therefore space dv over dx equals fraction numerator 1 over denominator 2 square root of 1 minus straight x end root square root of straight x end fraction space space space space space space space space space space space space space space space space space space space space space space space space space space space space space space space space space space space space space space space space space space space space space space space space space space space space space space space space space space space space space space space space space space space space space space space space space space space space... left parenthesis 3 right parenthesis
From space left parenthesis 1 right parenthesis comma space left parenthesis 2 right parenthesis comma space left parenthesis 3 right parenthesis comma space we space get comma
dy over dx equals straight x to the power of straight x. fraction numerator 1 over denominator 2 square root of 1 minus straight x end root square root of straight x end fraction plus sin to the power of negative 1 end exponent square root of straight x. space straight x to the power of straight x left parenthesis 1 plus log space straight x right parenthesis
space space space space space space space space equals fraction numerator straight x to the power of straight x over denominator 2 square root of straight x minus straight x squared end root end fraction plus straight x to the power of straight x left parenthesis 1 plus log space straight x right parenthesis. space sin to the power of negative 1 end exponent square root of straight x
77 Views

Advertisement
Advertisement
445. If space straight y equals sin left parenthesis 2 space sin to the power of negative 1 end exponent straight x right parenthesis comma space show space that space dy over dx equals 2 square root of fraction numerator 1 minus straight y squared over denominator 1 minus straight x squared end fraction end root.
73 Views

446. Find space dy over dx space of space the space following space cos to the power of negative 1 end exponent open parentheses fraction numerator 1 minus straight x squared over denominator 1 plus straight x squared end fraction close parentheses comma space 0 less than straight x less than 1 space straight w. straight r. straight t. straight x. space
93 Views

447. Differentiate space tan to the power of negative 1 end exponent open parentheses fraction numerator square root of 1 plus straight x squared end root minus 1 over denominator straight x end fraction close parentheses comma 0 less than straight x less than 1 comma space straight w. straight r. straight t. straight x.
92 Views

448. Find space dy over dx space in space the space following space colon
space sin to the power of negative 1 end exponent open parentheses fraction numerator 2 straight x over denominator 1 plus straight x squared end fraction close parentheses
84 Views

Advertisement
449. Find space fraction numerator dy over denominator dx space end fraction space in space the space following space
space tan to the power of negative 1 end exponent open parentheses fraction numerator 2 straight x over denominator 1 minus straight x squared end fraction close parentheses
91 Views

450. Find space dy over dx space in space the space following space colon
space tan to the power of negative 1 end exponent open parentheses fraction numerator 3 straight x minus straight x cubed over denominator 1 minus 3 straight x squared end fraction close parentheses comma space minus fraction numerator 1 over denominator square root of 3 end fraction less than straight x less than fraction numerator 1 over denominator square root of 3 end fraction
87 Views

Advertisement