from Mathematics Continuity and Differentiability

Previous Year Papers

Download Solved Question Papers Free for Offline Practice and view Solutions Online.

Test Series

Take Zigya Full and Sectional Test Series. Time it out for real assessment and get your results instantly.

Test Yourself

Practice and master your preparation for a specific topic or chapter. Check you scores at the end of the test.
Advertisement

 Multiple Choice QuestionsShort Answer Type

541. If y = 3e2x + 2e3x, then prove that fraction numerator straight d squared straight y over denominator dx squared end fraction minus 5 dy over dx plus 6 straight y equals 0.
80 Views

542. If space straight y space equals straight A space straight e to the power of straight m space straight x end exponent plus straight B space straight e to the power of straight n space straight x end exponent comma space show space that space dy over dx minus left parenthesis straight m plus straight n right parenthesis dy over dx plus straight m space straight n space straight y equals 0
75 Views

543. If space straight y equals straight a space straight e to the power of mx plus straight b space straight e to the power of negative mx end exponent comma space prove space that space fraction numerator straight d squared straight y over denominator dx squared end fraction minus straight m squared space straight y equals 0
74 Views

544. If space straight y equals 500 space straight e to the power of 7 straight x end exponent plus 600 space straight e to the power of negative 7 straight x end exponent comma space show space that space fraction numerator straight d squared straight y over denominator dx squared end fraction equals 49 space straight y.
108 Views

Advertisement
Advertisement

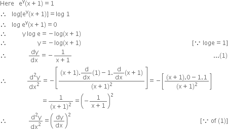
545. If space straight e to the power of straight y left parenthesis straight x plus 1 right parenthesis equals 1 comma space show space that space fraction numerator straight d squared straight y over denominator dx squared end fraction equals open parentheses dy over dx close parentheses squared


Here space space space straight e to the power of straight y left parenthesis straight x plus 1 right parenthesis equals 1
therefore space space space log left square bracket straight e to the power of straight y left parenthesis straight x plus 1 right parenthesis right square bracket equals log space 1
therefore space space space log space straight e to the power of straight y left parenthesis straight x plus 1 right parenthesis equals 0
therefore space space space space space space space space space space straight y space log space straight e equals negative log left parenthesis straight x plus 1 right parenthesis
therefore space space space space space space space space space space space space space space space space space space space space straight y equals negative log left parenthesis straight x plus 1 right parenthesis space space space space space space space space space space space space space space space space space space space space space space space space space space space space space space space space space space space space space space space space space space space space space space space space space space space space space space space space space space space space space space space space space space space space space space space space space left square bracket because space loge equals 1 right square bracket
therefore space space space space space space space space space space space space space space dy over dx equals negative fraction numerator 1 over denominator straight x plus 1 end fraction space space space space space space space space space space space space space space space space space space space space space space space space space space space space space space space space space space space space space space space space space space space space space space space space space space space space space space space space space space space space space space space space space space space space space space space space space space space space space space space space space space space space space space space space space space space space space... left parenthesis 1 right parenthesis
therefore space space space space space space space space space space space space space fraction numerator straight d squared straight y over denominator dx squared end fraction equals negative open square brackets fraction numerator left parenthesis straight x plus 1 right parenthesis. begin display style straight d over dx end style left parenthesis 1 right parenthesis minus 1. begin display style straight d over dx end style left parenthesis straight x plus 1 right parenthesis over denominator left parenthesis straight x plus 1 right parenthesis squared end fraction close square brackets equals negative open square brackets fraction numerator left parenthesis straight x plus 1 right parenthesis.0 minus 1.1 over denominator left parenthesis straight x plus 1 right parenthesis squared end fraction close square brackets
space space space space space space space space space space space space space space space space space space space space space space space space space space space equals fraction numerator 1 over denominator left parenthesis straight x plus 1 right parenthesis squared end fraction equals open parentheses negative fraction numerator 1 over denominator straight x plus 1 end fraction close parentheses squared
therefore space space space space space space space space space space space space space space fraction numerator straight d squared straight y over denominator dx squared end fraction equals open parentheses dy over dx close parentheses squared space space space space space space space space space space space space space space space space space space space space space space space space space space space space space space space space space space space space space space space space space space space space space space space space space space space space space space space space space space space space space space space space space space space space space space space space space space space space space space space space space space space space space left square bracket because space of space left parenthesis 1 right parenthesis right square bracket
75 Views

Advertisement
546. If y=sin -1x, prove that

dy over dx equals straight x over open parentheses 1 minus straight x squared close parentheses to the power of begin display style 3 over 2 end style end exponent
80 Views

547. If y=(log x)2, prove that x2 fraction numerator straight d squared straight y over denominator dx squared end fraction plus straight x dy over dx minus 2 equals 0
77 Views

548. If y=cos(log x)+sin(log x), then prove that x2y2+x y1+y=0 where y1 and y2are first and second order derivatives.
84 Views

Advertisement
549. If =3 cos(log x)+4 sin(log x), show that x2y2+x y1+y=0.
138 Views

550. If y = a cos (log x) + b sin (log x), show that straight x squared fraction numerator straight d squared straight y over denominator dx squared end fraction plus straight x dy over dx plus straight y equals 0.
78 Views

Advertisement