Verify the truth of Rolle's Theorem for the function from Mathe

Previous Year Papers

Download Solved Question Papers Free for Offline Practice and view Solutions Online.

Test Series

Take Zigya Full and Sectional Test Series. Time it out for real assessment and get your results instantly.

Test Yourself

Practice and master your preparation for a specific topic or chapter. Check you scores at the end of the test.
Advertisement

 Multiple Choice QuestionsShort Answer Type

591. Verify Roll's Theorem for the function :f(x) = x (x - 3)2 in 0 ≤ x ≤ 3
83 Views

592. Verify Roll's Theorem for the function :f(x) = (x2 - 1) (x - 2) in [-1, 2]
85 Views

593. Verify Roll�s Theorem for the function :f{x) = e1 - x2 in [-1, 1]
82 Views

594. Verify Roll�s Theorem for the function :f(x) = log (x2 + 2) - log 3 in [-1, 1]
85 Views

Advertisement
Advertisement

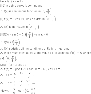
595. Verify the truth of Rolle's Theorem for the function
straight f left parenthesis straight x right parenthesis equals space sin space 3 straight x comma space straight x element of open square brackets 0 comma space straight pi over 3 close square brackets


Here space straight f left parenthesis straight x right parenthesis equals sin space 3 straight x
left parenthesis straight i right parenthesis space Since space sine space curve space is space continuous space
therefore space straight f left parenthesis straight x right parenthesis space is space continuous space function space in space open square brackets 0 comma space straight pi over 3 close square brackets
left parenthesis ii right parenthesis space straight f apostrophe left parenthesis straight x right parenthesis equals 3 space cos space 3 straight x comma space which space exists space in space open parentheses 0 comma space straight pi over 3 close parentheses
therefore space straight f left parenthesis straight x right parenthesis space is space derivable space in space open parentheses 0 comma space straight pi over 3 close parentheses
left parenthesis iii right parenthesis straight f left parenthesis 0 right parenthesis equals sin space 0 equals 0 comma space straight f open parentheses straight pi over 3 close parentheses equals sin space straight pi equals 0
therefore space straight f left parenthesis 0 right parenthesis equals straight f open parentheses straight pi over 3 close parentheses
therefore space straight f left parenthesis straight x right parenthesis space satisfies space all space the space conditions space of space Rolle apostrophe straight s space theorem. space
therefore space there space must space exist space at space least space one space value space straight c space of space straight x space such space that space straight f apostrophe left parenthesis straight c right parenthesis space equals space 0 space where
straight c element of space open parentheses 0 comma space straight pi over 3 close parentheses.
Now space straight f apostrophe left parenthesis straight c right parenthesis equals 3 space cos space 3 straight c
therefore space straight f apostrophe left parenthesis straight c right parenthesis equals 0 space gives space us space 3 space cos space 3 straight c equals 0 space straight i. straight i. comma space cos space 3 space straight c equals 0
therefore space space space 3 space straight c equals straight pi over 2 comma space fraction numerator 3 straight pi over denominator 2 end fraction comma space fraction numerator 5 straight pi over denominator 2 end fraction comma...
therefore space space space space space space straight c equals straight pi over 6 comma space fraction numerator 3 straight pi over denominator 2 end fraction comma space fraction numerator 5 straight pi over denominator 6 end fraction comma...
space Now space straight c equals straight pi over 6 space lies space in space open parentheses 0 comma space straight pi over 3 close parentheses
∴ Rolle's Theorem is verified.
82 Views

Advertisement
596. Verify Rolle's Theorem for the function f(x) = sin2 x in [0, straight pi].
95 Views

597. Verify Rolle's Theorem for the function straight f left parenthesis straight x right parenthesis space equals space cos squared space straight x space in space left square bracket 0 comma space straight pi right square bracket
75 Views

598. Verify Roll's Theorem for the function :straight f left parenthesis straight x right parenthesis equals space sin space straight x minus 1 space in space open square brackets straight pi over 2 comma space fraction numerator 5 straight pi over denominator 2 end fraction close square brackets
84 Views

Advertisement
599. Verify Roll's Theorem for the function : straight f left parenthesis straight x right parenthesis equals space sin space 2 space straight x space or space cos space 2 open parentheses straight x minus straight pi over 4 close parentheses space in space open square brackets 0 comma space straight pi over 2 close square brackets
71 Views

600. Verify Roll's Theorem for the function : straight f left parenthesis straight x right parenthesis equals cos space straight x plus sin space straight x space in space left square bracket 0 comma space 2 straight pi right square bracket
99 Views

Advertisement