A function f is defined as Show that f is not differentiable at

Previous Year Papers

Download Solved Question Papers Free for Offline Practice and view Solutions Online.

Test Series

Take Zigya Full and Sectional Test Series. Time it out for real assessment and get your results instantly.

Test Yourself

Practice and master your preparation for a specific topic or chapter. Check you scores at the end of the test.
Advertisement

 Multiple Choice QuestionsShort Answer Type

131. Prove that the greatest integer function [x] is not differentiable at x = 1.
79 Views

132. Prove that the function f given by f(x) = |x - 1 |, x ∈ R is not differentiable at x = 1.
110 Views

133. Prove space that space straight f left parenthesis straight x right parenthesis equals open vertical bar straight x minus 3 close vertical bar space has space no space derivative space at space straight x equals 3.
78 Views

134. If space straight f left parenthesis straight x right parenthesis equals open curly brackets table attributes columnalign left end attributes row cell straight x space sin 1 over straight x comma space space space straight x not equal to 0 end cell row cell 0 space space space space space space space space space comma space space space straight x equals 0 end cell end table close
the space show space that space straight f space is space not space differentiable space at space straight x equals 0.
78 Views

Advertisement
135. Syntax error from line 1 column 169 to line 1 column 176.
78 Views

136. Examine the derivability of the following functions :
|x| at x = 0
90 Views

137. Examine the derivability of the following functions :
|x2| at x = 0
80 Views

Advertisement

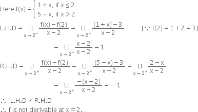
138. A function f is defined as straight f left parenthesis straight x right parenthesis equals open curly brackets table attributes columnalign left end attributes row cell 1 plus straight x comma space if space straight x less or equal than 2 end cell row cell 5 minus straight x comma space if space straight x greater than 2 end cell end table closeShow that f is not differentiable at x = 2.


Here space straight f left parenthesis straight x right parenthesis equals open curly brackets table attributes columnalign left end attributes row cell 1 plus straight x comma space if space straight x less or equal than 2 end cell row cell 5 minus straight x comma space if space straight x greater than 2 end cell end table close
straight L. straight H. straight D equals Lt with straight x rightwards arrow 2 to the power of minus below fraction numerator straight f left parenthesis straight x right parenthesis minus straight f left parenthesis 2 right parenthesis over denominator straight x minus 2 end fraction equals Lt with straight x rightwards arrow 2 to the power of minus below fraction numerator left parenthesis 1 plus straight x right parenthesis minus 3 over denominator straight x minus 2 end fraction space space space space space space space space space space space left square bracket because space straight f left parenthesis 2 right parenthesis equals 1 plus 2 equals 3 right square bracket
space space space space space space space space space space space space space space space space space space space space space space space space space space space space space space space space space space equals Lt with straight x rightwards arrow 2 to the power of minus below fraction numerator straight x minus 2 over denominator straight x minus 2 end fraction equals 1
straight R. straight H. straight D equals Lt with straight x rightwards arrow 2 to the power of plus below fraction numerator straight f left parenthesis straight x right parenthesis minus straight f left parenthesis 2 right parenthesis over denominator straight x minus 2 end fraction equals Lt with straight x rightwards arrow 2 to the power of plus below fraction numerator left parenthesis 5 minus straight x right parenthesis minus 3 over denominator straight x minus 2 end fraction equals Lt with straight x rightwards arrow 2 to the power of plus below fraction numerator 2 minus straight x over denominator straight x minus 2 end fraction
space space space space space space space space space space space space space space space space space space space space space space space space space space space space space space space space space space equals Lt with straight x rightwards arrow 2 to the power of plus below fraction numerator negative left parenthesis straight x plus 2 right parenthesis over denominator straight x minus 2 end fraction equals negative 1
therefore space space straight L. straight H. straight D not equal to straight R. straight H. straight D
therefore space straight f space is space not space derivable space at space straight x equals 2.
78 Views

Advertisement
Advertisement
139. Examine the derivability of the following function:
straight f left parenthesis straight x right parenthesis equals open curly brackets table attributes columnalign left end attributes row cell straight x squared space sin 1 over straight x comma space straight x not equal to 0 end cell row cell space space space space space space space 0 space space space comma space space space space straight x equals 0 end cell end table close
73 Views

140. Examine the derivability of the following function:
straight f left parenthesis straight x right parenthesis equals open curly brackets table attributes columnalign left end attributes row cell 3 minus 2 straight x comma space straight x less than 2 end cell row cell 3 straight x minus 7 comma space straight x greater or equal than 2 end cell end table close
at space straight x equals 2
72 Views

Advertisement