Examine the derivability of the following function: from Mathem

Previous Year Papers

Download Solved Question Papers Free for Offline Practice and view Solutions Online.

Test Series

Take Zigya Full and Sectional Test Series. Time it out for real assessment and get your results instantly.

Test Yourself

Practice and master your preparation for a specific topic or chapter. Check you scores at the end of the test.
Advertisement

 Multiple Choice QuestionsShort Answer Type

131. Prove that the greatest integer function [x] is not differentiable at x = 1.
79 Views

132. Prove that the function f given by f(x) = |x - 1 |, x ∈ R is not differentiable at x = 1.
110 Views

133. Prove space that space straight f left parenthesis straight x right parenthesis equals open vertical bar straight x minus 3 close vertical bar space has space no space derivative space at space straight x equals 3.
78 Views

134. If space straight f left parenthesis straight x right parenthesis equals open curly brackets table attributes columnalign left end attributes row cell straight x space sin 1 over straight x comma space space space straight x not equal to 0 end cell row cell 0 space space space space space space space space space comma space space space straight x equals 0 end cell end table close
the space show space that space straight f space is space not space differentiable space at space straight x equals 0.
78 Views

Advertisement
135. Syntax error from line 1 column 169 to line 1 column 176.
78 Views

136. Examine the derivability of the following functions :
|x| at x = 0
90 Views

137. Examine the derivability of the following functions :
|x2| at x = 0
80 Views

138. A function f is defined as straight f left parenthesis straight x right parenthesis equals open curly brackets table attributes columnalign left end attributes row cell 1 plus straight x comma space if space straight x less or equal than 2 end cell row cell 5 minus straight x comma space if space straight x greater than 2 end cell end table closeShow that f is not differentiable at x = 2.
78 Views

Advertisement
Advertisement

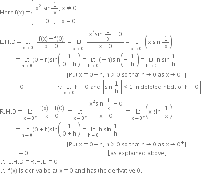
139. Examine the derivability of the following function:
straight f left parenthesis straight x right parenthesis equals open curly brackets table attributes columnalign left end attributes row cell straight x squared space sin 1 over straight x comma space straight x not equal to 0 end cell row cell space space space space space space space 0 space space space comma space space space space straight x equals 0 end cell end table close


Here space straight f left parenthesis straight x right parenthesis equals open curly brackets table attributes columnalign left end attributes row cell straight x squared space sin 1 over straight x comma space straight x not equal to 0 end cell row cell space space space space space space space 0 space space space comma space space space space straight x equals 0 end cell end table close
straight L. straight H. straight D equals Lt with straight x rightwards arrow 0 below to the power of minus fraction numerator straight f left parenthesis straight x right parenthesis minus straight f left parenthesis 0 right parenthesis over denominator straight x minus 0 end fraction equals Lt with straight x rightwards arrow 0 to the power of minus below fraction numerator straight x squared sin space begin display style 1 over straight x end style minus 0 over denominator straight x minus 0 end fraction equals Lt with straight x rightwards arrow 0 to the power of minus below open parentheses straight x space sin space 1 over straight x close parentheses
space space space space space space space space space space equals Lt with straight h rightwards arrow 0 below left parenthesis 0 minus straight h right parenthesis sin open parentheses fraction numerator 1 over denominator 0 minus straight h end fraction close parentheses equals Lt with straight h rightwards arrow 0 below left parenthesis negative straight h right parenthesis sin open parentheses negative 1 over straight h close parentheses equals Lt with straight h rightwards arrow 0 below straight h space sin 1 over straight h
space space space space space space space space space space space space space space space space space space space space space space space space space space space space space space space space space space space space space space space space space space space space space space left square bracket Put space straight x equals 0 minus straight h comma space straight h greater than 0 space so space that space straight h rightwards arrow 0 space as space straight x rightwards arrow 0 to the power of minus right square bracket
space space space space space space space space space equals 0 space space space space space space space space space space space space space space space space space space space space space open square brackets because Lt with straight x rightwards arrow 0 below straight h equals 0 space and space open vertical bar sin 1 over straight h close vertical bar less or equal than 1 space in space deleted space nbd. space of space straight h equals 0 close square brackets
straight R. straight H. straight D equals Lt with straight x rightwards arrow 0 to the power of plus below fraction numerator straight f left parenthesis straight x right parenthesis minus straight f left parenthesis 0 right parenthesis over denominator straight x minus 0 end fraction equals Lt with straight x rightwards arrow 0 to the power of plus below fraction numerator straight x squared sin space begin display style 1 over straight x end style minus 0 over denominator straight x minus 0 end fraction equals Lt with straight x rightwards arrow 0 to the power of plus below open parentheses straight x space sin space 1 over straight x close parentheses
space space space space space space space space space space equals Lt with straight h rightwards arrow 0 below left parenthesis 0 plus straight h right parenthesis sin open parentheses fraction numerator 1 over denominator 0 plus straight h end fraction close parentheses equals Lt with straight h rightwards arrow 0 below straight h space sin 1 over straight h
space space space space space space space space space space space space space space space space space space space space space space space space space space space space space space space space space space space space space space space space space space space space space space left square bracket Put space straight x equals 0 plus straight h comma space straight h greater than 0 space so space that space straight h rightwards arrow 0 space as space straight x rightwards arrow 0 to the power of plus right square bracket
space space space space space space space space space space space space equals 0 space space space space space space space space space space space space space space space space space space space space space space space space space space space space space space space space space space space space space space space space space space space space space space space space space space space space space space space open square brackets as space explained space above close square brackets
therefore space straight L. straight H. straight D equals straight R. straight H. straight D equals 0
therefore space straight f left parenthesis straight x right parenthesis space is space derivalbe space at space straight x equals 0 space and space has space the space derivative space 0.
73 Views

Advertisement
140. Examine the derivability of the following function:
straight f left parenthesis straight x right parenthesis equals open curly brackets table attributes columnalign left end attributes row cell 3 minus 2 straight x comma space straight x less than 2 end cell row cell 3 straight x minus 7 comma space straight x greater or equal than 2 end cell end table close
at space straight x equals 2
72 Views

Advertisement