Differentiate w.r.t x. from Mathematics Continuity and Differe

Previous Year Papers

Download Solved Question Papers Free for Offline Practice and view Solutions Online.

Test Series

Take Zigya Full and Sectional Test Series. Time it out for real assessment and get your results instantly.

Test Yourself

Practice and master your preparation for a specific topic or chapter. Check you scores at the end of the test.
Advertisement

 Multiple Choice QuestionsShort Answer Type

171.

Differentiate straight e to the power of log open parentheses straight x plus square root of straight x squared plus straight a squared end root close parentheses end exponent w.r.t x.

89 Views

 Multiple Choice QuestionsLong Answer Type

Advertisement

172.

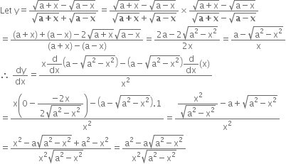
Differentiatefraction numerator square root of straight a plus straight x end root minus square root of straight a minus straight x end root over denominator square root of bold a bold plus bold x end root plus square root of bold a bold minus bold x end root end fraction w.r.t x.


Let space straight y equals fraction numerator square root of straight a plus straight x end root minus square root of straight a minus straight x end root over denominator square root of bold a bold plus bold x end root plus square root of bold a bold minus bold x end root end fraction equals fraction numerator square root of straight a plus straight x end root minus square root of straight a minus straight x end root over denominator square root of bold a bold plus bold x end root plus square root of bold a bold minus bold x end root end fraction cross times fraction numerator square root of straight a plus straight x end root minus square root of straight a minus straight x end root over denominator square root of bold a bold plus bold x end root minus square root of bold a bold minus bold x end root end fraction
equals fraction numerator left parenthesis straight a plus straight x right parenthesis plus left parenthesis straight a minus straight x right parenthesis minus 2 square root of straight a plus straight x end root square root of straight a minus straight x end root over denominator left parenthesis straight a plus straight x right parenthesis minus left parenthesis straight a minus straight x right parenthesis end fraction equals fraction numerator 2 straight a minus 2 square root of straight a squared minus straight x squared end root over denominator 2 straight x end fraction equals fraction numerator straight a minus square root of straight a squared minus straight x squared end root over denominator straight x end fraction
therefore space dy over dx equals fraction numerator straight x begin display style straight d over dx end style open parentheses straight a minus square root of straight a squared minus straight x squared end root close parentheses minus open parentheses straight a minus square root of straight a squared minus straight x squared end root close parentheses begin display style straight d over dx end style left parenthesis straight x right parenthesis over denominator straight x squared end fraction
equals fraction numerator straight x open parentheses 0 minus begin display style fraction numerator negative 2 straight x over denominator 2 square root of straight a squared minus straight x squared end root end fraction end style close parentheses minus open parentheses straight a minus square root of straight a squared minus straight x squared end root close parentheses.1 over denominator straight x squared end fraction equals fraction numerator begin display style fraction numerator straight x squared over denominator square root of straight a squared minus straight x squared end root end fraction end style minus straight a plus square root of straight a squared minus straight x squared end root over denominator straight x squared end fraction
equals fraction numerator straight x squared minus straight a square root of straight a squared minus straight x squared end root plus straight a squared minus straight x squared over denominator straight x squared square root of straight a squared minus straight x squared end root end fraction equals fraction numerator straight a squared minus straight a square root of straight a squared minus straight x squared end root over denominator straight x squared square root of straight a squared minus straight x squared end root end fraction
80 Views

Advertisement
173.

Differentiate square root of a italic plus square root of a italic plus square root of a italic plus x to the power of italic 2 end root end root end root w.r.t x

74 Views

 Multiple Choice QuestionsShort Answer Type

174. If space straight y equals square root of straight a plus square root of straight a plus straight x end root end root comma space find space dy over dx.
87 Views

Advertisement
175. If space straight y equals square root of 4 plus square root of 4 plus square root of 4 plus straight x squared end root end root end root comma space find space dy over dx.
71 Views

176. Differentiate log [(x + 2)(x3 - x)] w.r.t.x
90 Views

177.

Differentiate log open parentheses fraction numerator straight x squared plus straight x plus 1 over denominator straight x squared minus straight x plus 1 end fraction close parentheses

86 Views

178.

Differentiate log open parentheses straight x plus square root of straight a squared plus straight x squared end root close parentheses w.r.t x.

95 Views

Advertisement
179. Differentiate the following w.r.t.x:
log space 10 left parenthesis straight x squared plus 3 straight x minus 1 right parenthesis
96 Views

180. Differentiate the following w.r.t.x: log open parentheses fraction numerator 1 plus straight x over denominator 1 minus straight x end fraction close parentheses
89 Views

Advertisement