Differentiate  w.r.t x. from Mathematics Continuity and Diffe

Previous Year Papers

Download Solved Question Papers Free for Offline Practice and view Solutions Online.

Test Series

Take Zigya Full and Sectional Test Series. Time it out for real assessment and get your results instantly.

Test Yourself

Practice and master your preparation for a specific topic or chapter. Check you scores at the end of the test.
Advertisement

 Multiple Choice QuestionsShort Answer Type

171.

Differentiate straight e to the power of log open parentheses straight x plus square root of straight x squared plus straight a squared end root close parentheses end exponent w.r.t x.

89 Views

 Multiple Choice QuestionsLong Answer Type

172.

Differentiatefraction numerator square root of straight a plus straight x end root minus square root of straight a minus straight x end root over denominator square root of bold a bold plus bold x end root plus square root of bold a bold minus bold x end root end fraction w.r.t x.

80 Views

173.

Differentiate square root of a italic plus square root of a italic plus square root of a italic plus x to the power of italic 2 end root end root end root w.r.t x

74 Views

 Multiple Choice QuestionsShort Answer Type

174. If space straight y equals square root of straight a plus square root of straight a plus straight x end root end root comma space find space dy over dx.
87 Views

Advertisement
175. If space straight y equals square root of 4 plus square root of 4 plus square root of 4 plus straight x squared end root end root end root comma space find space dy over dx.
71 Views

176. Differentiate log [(x + 2)(x3 - x)] w.r.t.x
90 Views

177.

Differentiate log open parentheses fraction numerator straight x squared plus straight x plus 1 over denominator straight x squared minus straight x plus 1 end fraction close parentheses

86 Views

Advertisement

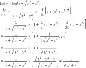
178.

Differentiate log open parentheses straight x plus square root of straight a squared plus straight x squared end root close parentheses w.r.t x.


Let space straight y equals log open parentheses straight x plus square root of straight a squared plus straight x squared end root close parentheses
dy over dx equals fraction numerator 1 over denominator straight x plus square root of straight a squared plus straight x squared end root end fraction cross times straight d over dx open square brackets straight x plus left parenthesis straight a squared plus straight x squared right parenthesis to the power of begin inline style 1 half end style end exponent close square brackets
equals fraction numerator 1 over denominator straight x plus square root of straight a squared plus straight x squared end root end fraction cross times open square brackets 1 plus 1 half left parenthesis straight a squared plus straight x squared right parenthesis to the power of negative begin inline style 1 half end style end exponent straight d over dx left parenthesis straight a squared plus straight x squared right parenthesis close square brackets
equals fraction numerator 1 over denominator straight x plus square root of straight a squared plus straight x squared end root end fraction cross times open square brackets 1 plus fraction numerator 1 over denominator 2 square root of straight a squared plus straight x squared end root end fraction.2 straight x close square brackets
equals fraction numerator 1 over denominator straight x plus square root of straight a squared plus straight x squared end root end fraction cross times open square brackets 1 plus fraction numerator 1 over denominator square root of straight a squared plus straight x squared end root end fraction close square brackets
equals fraction numerator 1 over denominator straight x plus square root of straight a squared plus straight x squared end root end fraction cross times open square brackets fraction numerator square root of straight a squared plus straight x squared end root plus straight x over denominator square root of straight a squared plus straight x squared end root end fraction close square brackets equals fraction numerator 1 over denominator square root of straight a squared plus straight x squared end root end fraction
95 Views

Advertisement
Advertisement
179. Differentiate the following w.r.t.x:
log space 10 left parenthesis straight x squared plus 3 straight x minus 1 right parenthesis
96 Views

180. Differentiate the following w.r.t.x: log open parentheses fraction numerator 1 plus straight x over denominator 1 minus straight x end fraction close parentheses
89 Views

Advertisement