from Mathematics Continuity and Differentiability

Previous Year Papers

Download Solved Question Papers Free for Offline Practice and view Solutions Online.

Test Series

Take Zigya Full and Sectional Test Series. Time it out for real assessment and get your results instantly.

Test Yourself

Practice and master your preparation for a specific topic or chapter. Check you scores at the end of the test.
Advertisement

 Multiple Choice QuestionsShort Answer Type

201. Find space dy over dx space where space straight x equals 4 straight t comma space straight y equals 4 over straight t
88 Views

202. If space straight x equals straight a open parentheses fraction numerator 1 plus straight t squared over denominator 1 minus straight t squared end fraction close parentheses space and space straight y equals fraction numerator 2 straight t over denominator 1 minus straight t squared end fraction comma space find space dy over dx.
73 Views

203. If space straight x equals fraction numerator 1 minus straight t squared over denominator 1 plus straight t squared end fraction comma space straight y equals fraction numerator 2 straight t over denominator 1 plus straight t squared end fraction comma space prove space that space dy over dx plus straight x over straight y equals 0.
76 Views

204. Find space dy over dx space where space straight x equals fraction numerator straight a left parenthesis 1 minus straight t squared right parenthesis over denominator 1 minus straight t squared end fraction comma space straight y space equals fraction numerator 2 bt over denominator 1 minus straight t squared end fraction
73 Views

Advertisement
Advertisement

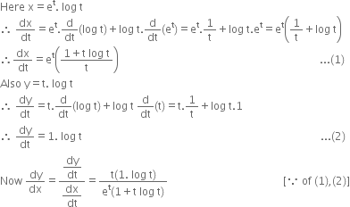
205. Find space dy over dx space when space straight x equals straight e to the power of straight t. space log space straight t comma space straight y equals straight t. log space straight t.


Here space straight x equals straight e to the power of straight t. space log space straight t
therefore space dx over dt equals straight e to the power of straight t. straight d over dt left parenthesis log space straight t right parenthesis plus log space straight t. straight d over dt left parenthesis straight e to the power of straight t right parenthesis equals straight e to the power of straight t.1 over straight t plus log space straight t. straight e to the power of straight t equals straight e to the power of straight t open parentheses 1 over straight t plus log space straight t close parentheses
therefore dx over dt equals straight e to the power of straight t open parentheses fraction numerator 1 plus straight t space log space straight t over denominator straight t end fraction close parentheses space space space space space space space space space space space space space space space space space space space space space space space space space space space space space space space space space space space space space space space space space space space space space space space space space space space space space space space space space space space space space space space space space space space space space space space space space space space... left parenthesis 1 right parenthesis
Also space straight y equals straight t. space log space straight t
therefore space dy over dt equals straight t. straight d over dt left parenthesis log space straight t right parenthesis plus log space straight t space straight d over dt left parenthesis straight t right parenthesis equals straight t.1 over straight t plus log space straight t.1
therefore space dy over dt equals 1. space log space straight t space space space space space space space space space space space space space space space space space space space space space space space space space space space space space space space space space space space space space space space space space space space space space space space space space space space space space space space space space space space space space space space space space space space space space space space space space space space space space space space space space space space space space space space space space... left parenthesis 2 right parenthesis
Now space dy over dx equals fraction numerator begin display style dy over dt end style over denominator begin display style dx over dt end style end fraction equals fraction numerator straight t left parenthesis 1. space log space straight t right parenthesis over denominator straight e to the power of straight t left parenthesis 1 plus straight t space log space straight t right parenthesis end fraction space space space space space space space space space space space space space space space space space space space space space space space space space space space space space space space space space space space space space space space space space space space left square bracket because space of space left parenthesis 1 right parenthesis comma left parenthesis 2 right parenthesis right square bracket
74 Views

Advertisement
206. Find space dy over dx when space straight x equals fraction numerator 3 at over denominator 1 plus straight t cubed end fraction comma space straight y equals fraction numerator 3 at squared over denominator 1 plus straight t cubed end fraction
86 Views

207. If space space straight x equals fraction numerator 3 at over denominator 1 plus straight t squared end fraction comma space straight y equals fraction numerator 3 at squared over denominator 1 plus straight t squared end fraction comma space then space find space dy over dt space at space straight t equals 2
79 Views

 Multiple Choice QuestionsLong Answer Type

208. If space straight x equals fraction numerator 1 plus log space straight t over denominator straight t squared end fraction comma space straight y equals fraction numerator 3 plus 2 space log space straight t over denominator straight t end fraction comma space straight t greater than 0 comma space prove space that space straight y dy over dx minus 2 straight x open parentheses dy over dx close parentheses squared equals 1
75 Views

Advertisement

 Multiple Choice QuestionsShort Answer Type

209. For space straight a space positive space constant space straight a space find space dy over dx comma space where space straight y equals straight a to the power of straight t plus 1 over straight t end exponent comma space and space straight x equals open parentheses straight t plus 1 over straight t close parentheses to the power of straight a.
83 Views

210. Differentiate 7x5 - 11 x2 w.r.t. 7x2 - 15 x
92 Views

Advertisement