from Mathematics Continuity and Differentiability

Previous Year Papers

Download Solved Question Papers Free for Offline Practice and view Solutions Online.

Test Series

Take Zigya Full and Sectional Test Series. Time it out for real assessment and get your results instantly.

Test Yourself

Practice and master your preparation for a specific topic or chapter. Check you scores at the end of the test.
Advertisement

 Multiple Choice QuestionsShort Answer Type

201. Find space dy over dx space where space straight x equals 4 straight t comma space straight y equals 4 over straight t
88 Views

202. If space straight x equals straight a open parentheses fraction numerator 1 plus straight t squared over denominator 1 minus straight t squared end fraction close parentheses space and space straight y equals fraction numerator 2 straight t over denominator 1 minus straight t squared end fraction comma space find space dy over dx.
73 Views

203. If space straight x equals fraction numerator 1 minus straight t squared over denominator 1 plus straight t squared end fraction comma space straight y equals fraction numerator 2 straight t over denominator 1 plus straight t squared end fraction comma space prove space that space dy over dx plus straight x over straight y equals 0.
76 Views

204. Find space dy over dx space where space straight x equals fraction numerator straight a left parenthesis 1 minus straight t squared right parenthesis over denominator 1 minus straight t squared end fraction comma space straight y space equals fraction numerator 2 bt over denominator 1 minus straight t squared end fraction
73 Views

Advertisement
205. Find space dy over dx space when space straight x equals straight e to the power of straight t. space log space straight t comma space straight y equals straight t. log space straight t.
74 Views

206. Find space dy over dx when space straight x equals fraction numerator 3 at over denominator 1 plus straight t cubed end fraction comma space straight y equals fraction numerator 3 at squared over denominator 1 plus straight t cubed end fraction
86 Views

207. If space space straight x equals fraction numerator 3 at over denominator 1 plus straight t squared end fraction comma space straight y equals fraction numerator 3 at squared over denominator 1 plus straight t squared end fraction comma space then space find space dy over dt space at space straight t equals 2
79 Views

 Multiple Choice QuestionsLong Answer Type

Advertisement

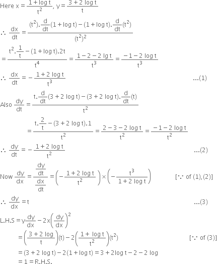
208. If space straight x equals fraction numerator 1 plus log space straight t over denominator straight t squared end fraction comma space straight y equals fraction numerator 3 plus 2 space log space straight t over denominator straight t end fraction comma space straight t greater than 0 comma space prove space that space straight y dy over dx minus 2 straight x open parentheses dy over dx close parentheses squared equals 1


Here space straight x equals fraction numerator 1 plus log space straight t over denominator straight t squared end fraction comma space straight y equals fraction numerator 3 plus 2 space log space straight t over denominator straight t end fraction
therefore space dx over dt equals fraction numerator left parenthesis straight t squared right parenthesis. begin display style straight d over dt end style left parenthesis 1 plus log space straight t right parenthesis minus left parenthesis 1 plus log space straight t right parenthesis. begin display style straight d over dt end style left parenthesis straight t squared right parenthesis over denominator left parenthesis straight t squared right parenthesis squared end fraction
equals fraction numerator straight t squared. begin display style 1 over straight t end style minus left parenthesis 1 plus log space straight t right parenthesis.2 straight t over denominator straight t to the power of 4 end fraction equals fraction numerator 1 minus 2 minus 2 space lg space straight t over denominator straight t cubed end fraction equals fraction numerator negative 1 minus 2 space log space straight t over denominator straight t cubed end fraction
therefore space dx over dt equals negative fraction numerator 1 plus 2 space log space straight t over denominator straight t cubed end fraction space space space space space space space space space space space space space space space space space space space space space space space space space space space space space space space space space space space space space space space space space space space space space space space space space space space space space space space space space space space space space space space space space space space space space space space space space space space space space space space space space space space space... left parenthesis 1 right parenthesis
Also space dy over dt equals fraction numerator straight t. begin display style straight d over dt end style left parenthesis 3 plus 2 space log space straight t right parenthesis minus left parenthesis 3 plus 2 space log space straight t right parenthesis. begin display style straight d over dt end style left parenthesis straight t right parenthesis over denominator straight t squared end fraction
space space space space space space space space space space space space space space space space space equals fraction numerator straight t. begin display style 2 over straight t end style minus left parenthesis 3 plus 2 space log space straight t right parenthesis.1 over denominator straight t squared end fraction equals fraction numerator 2 minus 3 minus 2 space log space straight t over denominator straight t squared end fraction equals fraction numerator negative 1 minus 2 space log space straight t over denominator straight t squared end fraction
therefore space dy over dt equals negative fraction numerator 1 plus 2 space log space straight t over denominator straight t squared end fraction space space space space space space space space space space space space space space space space space space space space space space space space space space space space space space space space space space space space space space space space space space space space space space space space space space space space space space space space space space space space space space space space space space space space space space space space space space space space space space space space space space space space space... left parenthesis 2 right parenthesis
Now space dy over dx equals fraction numerator begin display style dy over dt end style over denominator begin display style dx over dt end style end fraction equals open parentheses negative fraction numerator 1 plus 2 space log space straight t over denominator straight t squared end fraction space close parentheses cross times open parentheses negative fraction numerator straight t cubed over denominator 1 plus 2 space log space straight t end fraction close parentheses space space space space space space space space space space space space space space space space left square bracket because space of space left parenthesis 1 right parenthesis comma left parenthesis 2 right parenthesis right square bracket
therefore space dy over dx equals straight t space space space space space space space space space space space space space space space space space space space space space space space space space space space space space space space space space space space space space space space space space space space space space space space space space space space space space space space space space space space space space space space space space space space space space space space space space space space space space space space space space space space space space space space space space space space space space space space space space space space space space space space space space space space space space... left parenthesis 3 right parenthesis
straight L. straight H. straight S equals straight y dy over dx minus 2 straight x open parentheses dy over dx close parentheses squared
space space space space space space space space space space space equals open parentheses fraction numerator 3 plus 2 space log over denominator straight t end fraction close parentheses left parenthesis straight t right parenthesis minus 2 open parentheses fraction numerator 1 plus space log space straight t over denominator straight t squared end fraction close parentheses left parenthesis straight t squared right parenthesis space space space space space space space space space space space space space space space space space space space space space space space space space space space space space space space space space space space space space space space space space space space space space space space left square bracket because space of space left parenthesis 3 right parenthesis right square bracket
space space space space space space space space space space space equals left parenthesis 3 plus 2 space log space straight t right parenthesis minus 2 left parenthesis 1 plus log space straight t right parenthesis equals 3 plus 2 log space straight t minus 2 minus 2 space log
space space space space space space space space space space space equals 1 equals straight R. straight H. straight S.
75 Views

Advertisement
Advertisement

 Multiple Choice QuestionsShort Answer Type

209. For space straight a space positive space constant space straight a space find space dy over dx comma space where space straight y equals straight a to the power of straight t plus 1 over straight t end exponent comma space and space straight x equals open parentheses straight t plus 1 over straight t close parentheses to the power of straight a.
83 Views

210. Differentiate 7x5 - 11 x2 w.r.t. 7x2 - 15 x
92 Views

Advertisement