Differentiate w.r.t.x:  from Mathematics Continuity and Differ

Previous Year Papers

Download Solved Question Papers Free for Offline Practice and view Solutions Online.

Test Series

Take Zigya Full and Sectional Test Series. Time it out for real assessment and get your results instantly.

Test Yourself

Practice and master your preparation for a specific topic or chapter. Check you scores at the end of the test.
Advertisement

 Multiple Choice QuestionsShort Answer Type

281. Differentiate w.r.t.x:space straight y equals sin left parenthesis ax plus straight b right parenthesis
91 Views

Advertisement

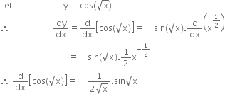
282. Differentiate w.r.t.x: cos left parenthesis square root of straight x right parenthesis


Let space space space space space space space space space space space space space space space space space space space space space space space space straight y equals space cos left parenthesis square root of straight x right parenthesis
therefore space space space space space space space space space space space space space space space space space space space space dy over dx equals straight d over dx open square brackets cos left parenthesis square root of straight x right parenthesis close square brackets equals negative sin left parenthesis square root of straight x right parenthesis. straight d over dx open parentheses straight x to the power of 1 half end exponent close parentheses
space space space space space space space space space space space space space space space space space space space space space space space space space space space space space space space space equals negative sin left parenthesis square root of straight x right parenthesis.1 half straight x to the power of negative 1 half end exponent
therefore space straight d over dx open square brackets cos left parenthesis square root of straight x right parenthesis close square brackets equals negative fraction numerator 1 over denominator 2 square root of straight x end fraction. sin square root of straight x
88 Views

Advertisement
283. Differentiate the following w.r.t.x :cos left parenthesis sin space straight x right parenthesis
80 Views

284. Differentiate the following w.r.t.x :sec left parenthesis tan left parenthesis square root of straight x right parenthesis right parenthesis
112 Views

Advertisement
285. Differentiate the following w.r.t.x :2 square root of cot left parenthesis straight x squared right parenthesis end root
79 Views

286. Differentiate 5log sin x w.r.t.x.
85 Views

287. Differentiate the following w.r.t.x: straight e to the power of straight x plus 3 sec space straight x plus log space straight x squared
82 Views

288. Differentiate the following w.r.t.x: cot space straight x plus 2 cos space straight x plus 3 sin space straight x minus 1 half straight e to the power of straight x minus log space subscript straight a straight x
83 Views

Advertisement
289. Find space dy over dx comma space when space straight y equals 3 tan space straight x plus 5 space log subscript straight a straight x plus square root of straight x minus 3 straight e to the power of straight x plus 1 over straight x.
82 Views

290. Differentiate the following w.r.t.x: ex sin x
85 Views

Advertisement