Differentiate the following w.r.t.x : from Mathematics Continui

Previous Year Papers

Download Solved Question Papers Free for Offline Practice and view Solutions Online.

Test Series

Take Zigya Full and Sectional Test Series. Time it out for real assessment and get your results instantly.

Test Yourself

Practice and master your preparation for a specific topic or chapter. Check you scores at the end of the test.
Advertisement

 Multiple Choice QuestionsShort Answer Type

281. Differentiate w.r.t.x:space straight y equals sin left parenthesis ax plus straight b right parenthesis
91 Views

282. Differentiate w.r.t.x: cos left parenthesis square root of straight x right parenthesis
88 Views

283. Differentiate the following w.r.t.x :cos left parenthesis sin space straight x right parenthesis
80 Views

284. Differentiate the following w.r.t.x :sec left parenthesis tan left parenthesis square root of straight x right parenthesis right parenthesis
112 Views

Advertisement
Advertisement

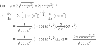
285. Differentiate the following w.r.t.x :2 square root of cot left parenthesis straight x squared right parenthesis end root


Let space space space space space straight y equals 2 square root of cot left parenthesis straight x squared right parenthesis end root equals 2 left square bracket cot left parenthesis straight x squared right parenthesis right square bracket to the power of 1 half end exponent
therefore space dy over dx equals 2.1 half left square bracket cot left parenthesis straight x squared right parenthesis right square bracket to the power of negative 1 half end exponent. straight d over dx left parenthesis cot space straight x squared right parenthesis
space space space space space space space space space space space space space equals fraction numerator 1 over denominator square root of cot space straight x squared end root end fraction. left parenthesis negative cosec squared straight x squared right parenthesis. straight d over dx left parenthesis cot space straight x squared right parenthesis
space space space space space space space space space space space space space equals fraction numerator 1 over denominator square root of cot space straight x squared end root end fraction. left parenthesis negative cosec squared straight x squared right parenthesis. left parenthesis 2 straight x right parenthesis equals negative fraction numerator 2 straight x space cosec squared straight x squared over denominator square root of cot space straight x squared end root end fraction
79 Views

Advertisement
286. Differentiate 5log sin x w.r.t.x.
85 Views

287. Differentiate the following w.r.t.x: straight e to the power of straight x plus 3 sec space straight x plus log space straight x squared
82 Views

288. Differentiate the following w.r.t.x: cot space straight x plus 2 cos space straight x plus 3 sin space straight x minus 1 half straight e to the power of straight x minus log space subscript straight a straight x
83 Views

Advertisement
289. Find space dy over dx comma space when space straight y equals 3 tan space straight x plus 5 space log subscript straight a straight x plus square root of straight x minus 3 straight e to the power of straight x plus 1 over straight x.
82 Views

290. Differentiate the following w.r.t.x: ex sin x
85 Views

Advertisement