Differentiate the following w.r.t.x:4cosxlogex+5 from Mathemati

Previous Year Papers

Download Solved Question Papers Free for Offline Practice and view Solutions Online.

Test Series

Take Zigya Full and Sectional Test Series. Time it out for real assessment and get your results instantly.

Test Yourself

Practice and master your preparation for a specific topic or chapter. Check you scores at the end of the test.
Advertisement

 Multiple Choice QuestionsShort Answer Type

Advertisement

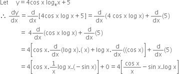
291. Differentiate the following w.r.t.x:4cosxlogex+5


Let space space space space space straight y equals 4 cos space straight x space log subscript straight e straight x plus 5
therefore space dy over dx equals straight d over dx left square bracket 4 cos space straight x space log space straight x plus 5 right square bracket equals straight d over dx left parenthesis 4 space cos space straight x space log space straight x right parenthesis plus straight d over dx left parenthesis 5 right parenthesis
space space space space space space space space space space space space space equals space 4 straight d over dx left parenthesis cos space straight x space log space straight x right parenthesis plus straight d over dx left parenthesis 5 right parenthesis
space space space space space space space space space space space space space equals 4 open square brackets cos space straight x. straight d over dx left parenthesis log space straight x right parenthesis. left parenthesis space straight x right parenthesis plus log space straight x. straight d over dx left parenthesis left parenthesis cos space straight x right parenthesis close square brackets plus straight d over dx left parenthesis 5 right parenthesis
space space space space space space space space space space space space space equals 4 open square brackets cos space straight x.1 over straight x log space straight x. left parenthesis negative sin space straight x right parenthesis close square brackets plus 0 equals 4 open square brackets fraction numerator cos space straight x over denominator straight x end fraction minus sin space straight x. log space straight x close square brackets
86 Views

Advertisement
292. Differentiate the following w.r.t.x:
 cos (a cos x + b sin x), for some constants a and b.
89 Views

293.  Differentiate (x2 + 7 x + 2) (ex - sin x) w.r.t.x.
77 Views

294. Differentiate sin3 x + cos6 x w.r.t.x.
88 Views

Advertisement
295. Differentiate cos x3. sin2 (x5) w.r.t.x.
92 Views

296. Differentiate the following w.r.t.x:fraction numerator straight e to the power of straight x over denominator sin space straight x end fraction
81 Views

297. Differentiate the following w.r.t.x: fraction numerator cos space straight x over denominator log space straight x end fraction, x>0
77 Views

298. Differentiate the following w.r.t.x: fraction numerator sin squared straight x over denominator 1 plus cos squared space straight x end fraction
91 Views

Advertisement
299. Differentiate the following w.r.t.x: fraction numerator straight e to the power of ax over denominator sin left parenthesis bx plus straight c right parenthesis end fraction
82 Views

300. Differentiate the following w.r.t.x:  fraction numerator sin space straight x plus log space straight x over denominator straight x to the power of 7 plus straight e to the power of straight x end fraction
88 Views

Advertisement