Differentiate cos x3. sin2 (x5) w.r.t.x. from Mathematics Cont

Previous Year Papers

Download Solved Question Papers Free for Offline Practice and view Solutions Online.

Test Series

Take Zigya Full and Sectional Test Series. Time it out for real assessment and get your results instantly.

Test Yourself

Practice and master your preparation for a specific topic or chapter. Check you scores at the end of the test.
Advertisement

 Multiple Choice QuestionsShort Answer Type

291. Differentiate the following w.r.t.x:4cosxlogex+5
86 Views

292. Differentiate the following w.r.t.x:
 cos (a cos x + b sin x), for some constants a and b.
89 Views

293.  Differentiate (x2 + 7 x + 2) (ex - sin x) w.r.t.x.
77 Views

294. Differentiate sin3 x + cos6 x w.r.t.x.
88 Views

Advertisement
Advertisement

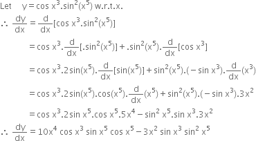
295. Differentiate cos x3. sin2 (x5) w.r.t.x.


Let space space space space space straight y equals cos space straight x cubed. sin squared left parenthesis straight x to the power of 5 right parenthesis space straight w. straight r. straight t. straight x.
therefore space dy over dx equals straight d over dx left square bracket cos space straight x cubed. sin squared left parenthesis straight x to the power of 5 right parenthesis right square bracket
space space space space space space space space space space space space space equals cos space straight x cubed. straight d over dx left square bracket. sin squared left parenthesis straight x to the power of 5 right parenthesis right square bracket plus. sin squared left parenthesis straight x to the power of 5 right parenthesis. straight d over dx left square bracket cos space straight x cubed right square bracket
space space space space space space space space space space space space space equals cos space straight x cubed.2 sin left parenthesis straight x to the power of 5 right parenthesis. straight d over dx left square bracket sin left parenthesis straight x to the power of 5 right parenthesis right square bracket plus sin squared left parenthesis straight x to the power of 5 right parenthesis. left parenthesis negative sin space straight x cubed right parenthesis. straight d over dx left parenthesis straight x cubed right parenthesis
space space space space space space space space space space space space space equals cos space straight x cubed.2 sin left parenthesis straight x to the power of 5 right parenthesis. cos left parenthesis straight x to the power of 5 right parenthesis. straight d over dx left parenthesis straight x to the power of 5 right parenthesis plus sin squared left parenthesis straight x to the power of 5 right parenthesis. left parenthesis negative sin space straight x cubed right parenthesis.3 straight x squared
space space space space space space space space space space space space space equals cos space straight x cubed.2 sin space straight x to the power of 5. cos space straight x to the power of 5.5 straight x to the power of 4 minus sin squared space straight x to the power of 5. sin space straight x cubed.3 straight x squared
therefore space dy over dx equals 10 straight x to the power of 4 space cos space straight x cubed space sin space straight x to the power of 5 space cos space straight x to the power of 5 minus 3 straight x squared space sin space straight x cubed space sin squared space straight x to the power of 5
92 Views

Advertisement
296. Differentiate the following w.r.t.x:fraction numerator straight e to the power of straight x over denominator sin space straight x end fraction
81 Views

297. Differentiate the following w.r.t.x: fraction numerator cos space straight x over denominator log space straight x end fraction, x>0
77 Views

298. Differentiate the following w.r.t.x: fraction numerator sin squared straight x over denominator 1 plus cos squared space straight x end fraction
91 Views

Advertisement
299. Differentiate the following w.r.t.x: fraction numerator straight e to the power of ax over denominator sin left parenthesis bx plus straight c right parenthesis end fraction
82 Views

300. Differentiate the following w.r.t.x:  fraction numerator sin space straight x plus log space straight x over denominator straight x to the power of 7 plus straight e to the power of straight x end fraction
88 Views

Advertisement