Differentiate the following functions w.r.t.x: from Mathematics

Previous Year Papers

Download Solved Question Papers Free for Offline Practice and view Solutions Online.

Test Series

Take Zigya Full and Sectional Test Series. Time it out for real assessment and get your results instantly.

Test Yourself

Practice and master your preparation for a specific topic or chapter. Check you scores at the end of the test.
Advertisement

 Multiple Choice QuestionsShort Answer Type

351. Differentiate the following functions w.r.t.x: sin left parenthesis straight x space straight y right parenthesis plus straight x over straight y equals straight x squared minus straight y
74 Views

352. Differentiate the following functions w.r.t.x:
 tan left parenthesis straight x plus straight y right parenthesis plus tan left parenthesis straight x minus straight y right parenthesis equals 1
89 Views

Advertisement

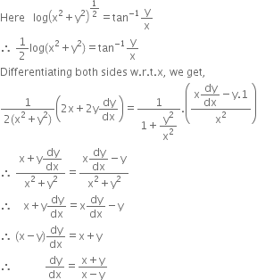
353. Differentiate the following functions w.r.t.x:
log square root of straight x squared plus straight y squared end root equals tan to the power of negative 1 end exponent straight y over straight x


Here space space space log open parentheses straight x squared plus straight y squared close parentheses to the power of 1 half end exponent equals tan to the power of negative 1 end exponent straight y over straight x
therefore space 1 half log left parenthesis straight x squared plus straight y squared right parenthesis equals tan to the power of negative 1 end exponent straight y over straight x
Differentiating space both space sides space straight w. straight r. straight t. straight x comma space we space get comma
fraction numerator 1 over denominator 2 left parenthesis straight x squared plus straight y squared right parenthesis end fraction open parentheses 2 straight x plus 2 straight y dy over dx close parentheses equals fraction numerator 1 over denominator 1 plus begin display style straight y squared over straight x squared end style end fraction. open parentheses fraction numerator straight x begin display style dy over dx end style minus straight y.1 over denominator straight x squared end fraction close parentheses
therefore space fraction numerator straight x plus straight y begin display style dy over dx end style over denominator straight x squared plus straight y squared end fraction equals fraction numerator straight x begin display style dy over dx end style minus straight y over denominator straight x squared plus straight y squared end fraction
therefore space space space space straight x plus straight y dy over dx equals straight x dy over dx minus straight y
therefore space left parenthesis straight x minus straight y right parenthesis dy over dx equals straight x plus straight y
therefore space space space space space space space space space space space space dy over dx equals fraction numerator straight x plus straight y over denominator straight x minus straight y end fraction
91 Views

Advertisement
354. Differentiate the following functions w.r.t.x: 
straight x cubed plus straight y cubed equals sin left parenthesis straight x plus straight y right parenthesis
82 Views

Advertisement
355. Find space dy over dx when space straight x equals straight a left parenthesis straight theta plus sinθ right parenthesis comma space straight y equals straight a left parenthesis 1 minus cosθ right parenthesis
83 Views

356. Find space dy over dx space when space straight x equals straight a left parenthesis 1 minus cosθ right parenthesis comma space straight y equals straight a left parenthesis straight theta plus sinθ right parenthesis
91 Views

357. Find space dy over dx when space straight x equals straight a space sinθ comma space straight y equals straight a open parentheses cosθ plus log space tan straight theta over 2 close parentheses
91 Views

358. Find space dy over dx space when space straight x equals cos cubed straight theta comma space straight y equals straight b space sin cubed straight theta
87 Views

Advertisement
359. If space space straight x equals straight a left parenthesis 1 minus cosθ right parenthesis comma space straight y equals straight a left parenthesis 1 plus sinθ right parenthesis comma space find dy over dx comma
82 Views

360. Find space dy over dx when space straight x equals straight a left parenthesis straight theta plus sinθ right parenthesis comma space straight y equals straight a left parenthesis 1 plus cosθ right parenthesis.
84 Views

Advertisement