from Mathematics Continuity and Differentiability

Previous Year Papers

Download Solved Question Papers Free for Offline Practice and view Solutions Online.

Test Series

Take Zigya Full and Sectional Test Series. Time it out for real assessment and get your results instantly.

Test Yourself

Practice and master your preparation for a specific topic or chapter. Check you scores at the end of the test.
Advertisement

 Multiple Choice QuestionsShort Answer Type

351. Differentiate the following functions w.r.t.x: sin left parenthesis straight x space straight y right parenthesis plus straight x over straight y equals straight x squared minus straight y
74 Views

352. Differentiate the following functions w.r.t.x:
 tan left parenthesis straight x plus straight y right parenthesis plus tan left parenthesis straight x minus straight y right parenthesis equals 1
89 Views

353. Differentiate the following functions w.r.t.x:
log square root of straight x squared plus straight y squared end root equals tan to the power of negative 1 end exponent straight y over straight x
91 Views

354. Differentiate the following functions w.r.t.x: 
straight x cubed plus straight y cubed equals sin left parenthesis straight x plus straight y right parenthesis
82 Views

Advertisement
Advertisement

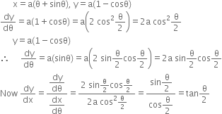
355. Find space dy over dx when space straight x equals straight a left parenthesis straight theta plus sinθ right parenthesis comma space straight y equals straight a left parenthesis 1 minus cosθ right parenthesis


space space space space space space straight x equals straight a left parenthesis straight theta plus sinθ right parenthesis comma space straight y equals straight a left parenthesis 1 minus cosθ right parenthesis
dy over dθ equals straight a left parenthesis 1 plus cosθ right parenthesis equals straight a open parentheses 2 space cos squared straight theta over 2 close parentheses equals 2 straight a space cos squared straight theta over 2
space space space space space space straight y equals straight a left parenthesis 1 minus cosθ right parenthesis
therefore space space space space space dy over dθ equals straight a left parenthesis sinθ right parenthesis equals straight a open parentheses 2 space sin straight theta over 2 cos straight theta over 2 close parentheses equals 2 straight a space sin straight theta over 2 cos straight theta over 2
Now space dy over dx equals fraction numerator begin display style dy over dθ end style over denominator begin display style dx over dθ end style end fraction equals fraction numerator 2 space sin straight theta over 2 cos straight theta over 2 over denominator 2 straight a space cos squared straight theta over 2 end fraction equals fraction numerator sin begin display style straight theta over 2 end style over denominator cos begin display style straight theta over 2 end style end fraction equals tan straight theta over 2
83 Views

Advertisement
356. Find space dy over dx space when space straight x equals straight a left parenthesis 1 minus cosθ right parenthesis comma space straight y equals straight a left parenthesis straight theta plus sinθ right parenthesis
91 Views

357. Find space dy over dx when space straight x equals straight a space sinθ comma space straight y equals straight a open parentheses cosθ plus log space tan straight theta over 2 close parentheses
91 Views

358. Find space dy over dx space when space straight x equals cos cubed straight theta comma space straight y equals straight b space sin cubed straight theta
87 Views

Advertisement
359. If space space straight x equals straight a left parenthesis 1 minus cosθ right parenthesis comma space straight y equals straight a left parenthesis 1 plus sinθ right parenthesis comma space find dy over dx comma
82 Views

360. Find space dy over dx when space straight x equals straight a left parenthesis straight theta plus sinθ right parenthesis comma space straight y equals straight a left parenthesis 1 plus cosθ right parenthesis.
84 Views

Advertisement