Differentiate the following functions w.r.t.x:  from Mathemati

Previous Year Papers

Download Solved Question Papers Free for Offline Practice and view Solutions Online.

Test Series

Take Zigya Full and Sectional Test Series. Time it out for real assessment and get your results instantly.

Test Yourself

Practice and master your preparation for a specific topic or chapter. Check you scores at the end of the test.
Advertisement

 Multiple Choice QuestionsShort Answer Type

411. Differentiate the following functions w.r.t.x: space fraction numerator sin to the power of negative 1 end exponent straight x over denominator square root of 1 minus straight x squared end root end fraction
87 Views

412. Differentiate the following functions w.r.t.x: cos to the power of negative 1 end exponent square root of fraction numerator 1 plus straight x over denominator 2 end fraction end root
90 Views

413. Differentiate the following functions w.r.t.x: sin to the power of negative 1 end exponent square root of fraction numerator 1 plus straight x squared over denominator 2 end fraction end root
94 Views

Advertisement

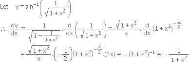
414. Differentiate the following functions w.r.t.x: sin to the power of negative 1 end exponent open parentheses fraction numerator 1 over denominator square root of 1 plus straight x squared end root end fraction close parentheses


Let space space space space space straight y equals sin to the power of negative 1 end exponent open parentheses fraction numerator 1 over denominator square root of 1 plus straight x squared end root end fraction close parentheses
therefore space dy over dx equals fraction numerator 1 over denominator square root of 1 minus fraction numerator 1 over denominator 1 plus straight x squared end fraction end root end fraction. straight d over dx open parentheses fraction numerator 1 over denominator square root of 1 plus straight x squared end root end fraction close parentheses equals fraction numerator square root of 1 plus straight x squared end root over denominator straight x end fraction. straight d over dx left parenthesis 1 plus straight x squared right parenthesis to the power of negative 1 half end exponent
space space space space space space space space space space space space space equals fraction numerator square root of 1 plus straight x squared end root over denominator straight x end fraction. open parentheses negative 1 half close parentheses open parentheses 1 plus straight x squared close parentheses to the power of negative 3 over 2 end exponent. left parenthesis 2 straight x right parenthesis equals negative left parenthesis 1 plus straight x squared right parenthesis to the power of negative 1 end exponent equals negative fraction numerator 1 over denominator 1 plus straight x squared end fraction
85 Views

Advertisement
Advertisement
415. Differentiate the following functions w.r.t.x fraction numerator cos left parenthesis log space straight x right parenthesis plus tan to the power of negative 1 end exponent straight x over denominator straight e to the power of straight x end fraction
89 Views

416. Differentiate the following functions w.r.t.x: fraction numerator straight e to the power of straight x squared end exponent space tan to the power of negative 1 end exponent straight x over denominator square root of 1 plus straight x squared end root end fraction
75 Views

417. Differentiate the following functions w.r.t.x:fraction numerator cos to the power of negative 1 end exponent begin display style straight x over 2 end style over denominator square root of 2 straight x plus 7 end root end fraction comma space minus 2 less than straight x less than 2
74 Views

418. Differentiate : fraction numerator straight x space cos to the power of negative 1 end exponent straight x over denominator square root of 1 minus straight x squared end root end fraction comma space straight x not equal to 1 comma space straight w. straight r. straight t. straight x
75 Views

Advertisement
419. Prove space that space cot to the power of negative 1 end exponent straight x space plus space cot minus 1 space 1 over straight x space is space constant.
85 Views

420. If space straight y equals fraction numerator 2 over denominator square root of straight a squared minus straight b squared end root end fraction tan to the power of negative 1 end exponent open parentheses square root of fraction numerator straight a minus straight b over denominator straight a plus straight b end fraction end root tan straight x over 2 close parentheses comma space prove space that
space dy over dx equals fraction numerator 1 over denominator straight a plus straight b space cos space straight x end fraction comma space straight a greater than straight b greater than 0.
83 Views

Advertisement