Differentiate the following functions w.r.t.x  from Mathematic

Previous Year Papers

Download Solved Question Papers Free for Offline Practice and view Solutions Online.

Test Series

Take Zigya Full and Sectional Test Series. Time it out for real assessment and get your results instantly.

Test Yourself

Practice and master your preparation for a specific topic or chapter. Check you scores at the end of the test.
Advertisement

 Multiple Choice QuestionsShort Answer Type

411. Differentiate the following functions w.r.t.x: space fraction numerator sin to the power of negative 1 end exponent straight x over denominator square root of 1 minus straight x squared end root end fraction
87 Views

412. Differentiate the following functions w.r.t.x: cos to the power of negative 1 end exponent square root of fraction numerator 1 plus straight x over denominator 2 end fraction end root
90 Views

413. Differentiate the following functions w.r.t.x: sin to the power of negative 1 end exponent square root of fraction numerator 1 plus straight x squared over denominator 2 end fraction end root
94 Views

414. Differentiate the following functions w.r.t.x: sin to the power of negative 1 end exponent open parentheses fraction numerator 1 over denominator square root of 1 plus straight x squared end root end fraction close parentheses
85 Views

Advertisement
Advertisement

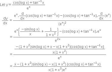
415. Differentiate the following functions w.r.t.x fraction numerator cos left parenthesis log space straight x right parenthesis plus tan to the power of negative 1 end exponent straight x over denominator straight e to the power of straight x end fraction


Let space straight y equals fraction numerator cos left parenthesis log space straight x right parenthesis plus tan to the power of negative 1 end exponent straight x over denominator straight e to the power of straight x end fraction
space space dy over dx equals fraction numerator straight e to the power of straight x. begin display style straight d over dx end style left curly bracket cos left parenthesis log space straight x right parenthesis plus tan to the power of negative 1 end exponent straight x right curly bracket minus left curly bracket cos left parenthesis log space straight x right parenthesis plus tan to the power of negative 1 end exponent straight x right curly bracket. begin display style straight d over dx end style left parenthesis straight e to the power of straight x right parenthesis over denominator left parenthesis straight e to the power of straight x right parenthesis squared end fraction
space space space space space space space space space space equals fraction numerator straight e to the power of straight x open curly brackets begin display style fraction numerator negative sin left parenthesis log space straight x right parenthesis over denominator straight x end fraction end style plus begin display style fraction numerator 1 over denominator 1 plus straight x squared end fraction end style close curly brackets minus left curly bracket cos left parenthesis log space straight x right parenthesis plus tan to the power of negative 1 end exponent straight x right curly bracket. straight e to the power of straight x over denominator straight e to the power of 2 straight x end exponent end fraction
space space space space space space space space space space equals fraction numerator begin display style fraction numerator negative left parenthesis 1 plus straight x squared right parenthesis sin left parenthesis log space straight x right parenthesis plus straight x minus straight x left parenthesis 1 plus straight x squared right parenthesis left curly bracket cos left parenthesis log space straight x right parenthesis plus tan to the power of negative 1 end exponent straight x right curly bracket over denominator straight x left parenthesis 1 plus straight x squared right parenthesis end fraction end style over denominator straight e to the power of straight x end fraction
space space space space space space space space space space equals fraction numerator straight x minus left parenthesis 1 plus straight x squared right parenthesis sin left parenthesis log space straight x right parenthesis minus straight x left parenthesis 1 plus straight x squared right parenthesis space left curly bracket cos left parenthesis log space straight x right parenthesis plus tan to the power of negative 1 end exponent straight x right curly bracket over denominator straight x left parenthesis 1 plus straight x squared right parenthesis straight e to the power of straight x end fraction
89 Views

Advertisement
416. Differentiate the following functions w.r.t.x: fraction numerator straight e to the power of straight x squared end exponent space tan to the power of negative 1 end exponent straight x over denominator square root of 1 plus straight x squared end root end fraction
75 Views

417. Differentiate the following functions w.r.t.x:fraction numerator cos to the power of negative 1 end exponent begin display style straight x over 2 end style over denominator square root of 2 straight x plus 7 end root end fraction comma space minus 2 less than straight x less than 2
74 Views

418. Differentiate : fraction numerator straight x space cos to the power of negative 1 end exponent straight x over denominator square root of 1 minus straight x squared end root end fraction comma space straight x not equal to 1 comma space straight w. straight r. straight t. straight x
75 Views

Advertisement
419. Prove space that space cot to the power of negative 1 end exponent straight x space plus space cot minus 1 space 1 over straight x space is space constant.
85 Views

420. If space straight y equals fraction numerator 2 over denominator square root of straight a squared minus straight b squared end root end fraction tan to the power of negative 1 end exponent open parentheses square root of fraction numerator straight a minus straight b over denominator straight a plus straight b end fraction end root tan straight x over 2 close parentheses comma space prove space that
space dy over dx equals fraction numerator 1 over denominator straight a plus straight b space cos space straight x end fraction comma space straight a greater than straight b greater than 0.
83 Views

Advertisement