from Mathematics Continuity and Differentiability

Previous Year Papers

Download Solved Question Papers Free for Offline Practice and view Solutions Online.

Test Series

Take Zigya Full and Sectional Test Series. Time it out for real assessment and get your results instantly.

Test Yourself

Practice and master your preparation for a specific topic or chapter. Check you scores at the end of the test.
Advertisement

 Multiple Choice QuestionsShort Answer Type

481. Prove space that space dy over dx space is space independent space of space straight x comma space when
straight y equals cot to the power of negative 1 end exponent open square brackets fraction numerator square root of 1 plus sin space straight x end root plus square root of 1 minus sin space straight x end root over denominator square root of 1 plus sin space straight x end root minus square root of 1 minus sin space straight x end root end fraction close square brackets comma space open parentheses 0 less than straight x less than straight pi over 2 close parentheses.
81 Views

Advertisement

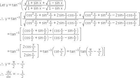
482. Differentiate colon space tan to the power of negative 1 end exponent open parentheses fraction numerator square root of 1 plus sin space straight x end root plus square root of 1 minus sin space straight x end root over denominator square root of 1 plus sin space straight x end root minus square root of 1 minus sin space straight x end root end fraction close parentheses space straight w. straight r. straight t. straight x.


Let space straight y equals tan to the power of negative 1 end exponent open parentheses fraction numerator square root of 1 plus sin space straight x end root plus square root of 1 minus sin space straight x end root over denominator square root of 1 plus sin space straight x end root minus square root of 1 minus sin space straight x end root end fraction close parentheses
therefore space straight y equals tan to the power of negative 1 end exponent open square brackets fraction numerator square root of cos squared straight x over 2 plus sin squared straight x over 2 plus 2 sin straight x over 2 cos straight x over 2 end root plus square root of cos squared straight x over 2 plus sin squared straight x over 2 minus 2 sin straight x over 2 cos straight x over 2 end root over denominator square root of cos squared straight x over 2 plus sin squared straight x over 2 plus 2 sin straight x over 2 cos straight x over 2 end root minus square root of cos squared straight x over 2 plus sin squared straight x over 2 minus 2 sin straight x over 2 cos straight x over 2 end root end fraction close square brackets
space space space space space space space equals tan to the power of negative 1 end exponent open square brackets fraction numerator open parentheses cos straight x over 2 plus sin straight x over 2 close parentheses plus open parentheses cos straight x over 2 minus sin straight x over 2 close parentheses over denominator open parentheses cos straight x over 2 plus sin straight x over 2 close parentheses minus open parentheses cos straight x over 2 minus sin straight x over 2 close parentheses end fraction close square brackets
space space space space space space space equals tan to the power of negative 1 end exponent open square brackets fraction numerator 2 cos begin display style straight x over 2 end style over denominator 2 sin straight x over 2 end fraction close square brackets equals tan to the power of negative 1 end exponent open parentheses cot straight x over 2 close parentheses equals tan to the power of negative 1 end exponent open square brackets tan open parentheses straight pi over 2 minus straight x over 2 close parentheses close square brackets
therefore space straight y equals straight pi over 2 minus straight x over 2
therefore space dy over dx equals negative 1 half
91 Views

Advertisement
483. Differentiate space colon space tan to the power of negative 1 end exponent open parentheses fraction numerator square root of 1 plus straight x end root minus square root of 1 minus straight x end root over denominator square root of 1 plus straight x end root plus square root of 1 minus straight x end root end fraction close parentheses space straight w. straight r. straight t. straight x.
76 Views

484. If y = tan-1 open parentheses fraction numerator straight x to the power of begin display style 1 third end style end exponent plus straight a to the power of begin display style 1 third end style end exponent over denominator 1 minus straight x to the power of begin display style 1 third end style end exponent space straight a to the power of begin display style 1 third end style end exponent end fraction close parentheses when 0 < a x < 1, prove that dy over dxis independent of a.
95 Views

Advertisement
485. straight y equals sin to the power of negative 1 end exponent open curly brackets straight x square root of 1 minus straight x end root minus square root of straight x square root of 1 minus straight x squared end root close curly brackets space semicolon space find space dy over dx comma
72 Views

486. If space straight y equals sin to the power of negative 1 end exponent left parenthesis straight x squared square root of 1 minus straight x squared end root plus straight x square root of 1 minus straight x to the power of 4 end root right parenthesis comma space show space that space
dy over dx minus fraction numerator 2 straight x over denominator square root of 1 minus straight x to the power of 4 end root end fraction equals fraction numerator 1 over denominator square root of 1 minus straight x to the power of 4 end root end fraction
75 Views

487. Differentiate space sin to the power of negative 1 end exponent open parentheses fraction numerator 2 straight x over denominator 1 plus straight x squared end fraction close parentheses space straight w. straight r. straight t. space tan to the power of negative 1 end exponent straight x.
84 Views

488. Differentiate space colon space tan to the power of negative 1 end exponent open parentheses fraction numerator square root of 1 plus straight x squared end root over denominator straight x end fraction close parentheses space straight w. straight r. straight t. space sin to the power of negative 1 end exponent open parentheses fraction numerator 2 straight x over denominator 1 plus straight x squared end fraction close parentheses.
76 Views

Advertisement
489. Differentiate space tan to the power of negative 1 end exponent open parentheses fraction numerator 3 straight x minus straight x cubed over denominator 1 minus 3 straight x squared end fraction close parentheses space straight w. straight r. straight t. space tan to the power of negative 1 end exponent open parentheses fraction numerator 2 straight x over denominator 1 minus straight x squared end fraction close parentheses
89 Views

490. Differentiate space colon space cos to the power of negative 1 end exponent open parentheses fraction numerator 1 minus straight x squared over denominator 1 plus straight x squared end fraction close parentheses space straight w. straight r. straight t. space tan to the power of negative 1 end exponent open parentheses fraction numerator 3 straight x minus straight x cubed over denominator 1 minus 3 straight x squared end fraction close parentheses
82 Views

Advertisement