from Mathematics Continuity and Differentiability

Previous Year Papers

Download Solved Question Papers Free for Offline Practice and view Solutions Online.

Test Series

Take Zigya Full and Sectional Test Series. Time it out for real assessment and get your results instantly.

Test Yourself

Practice and master your preparation for a specific topic or chapter. Check you scores at the end of the test.
Advertisement

 Multiple Choice QuestionsShort Answer Type

481. Prove space that space dy over dx space is space independent space of space straight x comma space when
straight y equals cot to the power of negative 1 end exponent open square brackets fraction numerator square root of 1 plus sin space straight x end root plus square root of 1 minus sin space straight x end root over denominator square root of 1 plus sin space straight x end root minus square root of 1 minus sin space straight x end root end fraction close square brackets comma space open parentheses 0 less than straight x less than straight pi over 2 close parentheses.
81 Views

482. Differentiate colon space tan to the power of negative 1 end exponent open parentheses fraction numerator square root of 1 plus sin space straight x end root plus square root of 1 minus sin space straight x end root over denominator square root of 1 plus sin space straight x end root minus square root of 1 minus sin space straight x end root end fraction close parentheses space straight w. straight r. straight t. straight x.
91 Views

483. Differentiate space colon space tan to the power of negative 1 end exponent open parentheses fraction numerator square root of 1 plus straight x end root minus square root of 1 minus straight x end root over denominator square root of 1 plus straight x end root plus square root of 1 minus straight x end root end fraction close parentheses space straight w. straight r. straight t. straight x.
76 Views

484. If y = tan-1 open parentheses fraction numerator straight x to the power of begin display style 1 third end style end exponent plus straight a to the power of begin display style 1 third end style end exponent over denominator 1 minus straight x to the power of begin display style 1 third end style end exponent space straight a to the power of begin display style 1 third end style end exponent end fraction close parentheses when 0 < a x < 1, prove that dy over dxis independent of a.
95 Views

Advertisement
485. straight y equals sin to the power of negative 1 end exponent open curly brackets straight x square root of 1 minus straight x end root minus square root of straight x square root of 1 minus straight x squared end root close curly brackets space semicolon space find space dy over dx comma
72 Views

486. If space straight y equals sin to the power of negative 1 end exponent left parenthesis straight x squared square root of 1 minus straight x squared end root plus straight x square root of 1 minus straight x to the power of 4 end root right parenthesis comma space show space that space
dy over dx minus fraction numerator 2 straight x over denominator square root of 1 minus straight x to the power of 4 end root end fraction equals fraction numerator 1 over denominator square root of 1 minus straight x to the power of 4 end root end fraction
75 Views

487. Differentiate space sin to the power of negative 1 end exponent open parentheses fraction numerator 2 straight x over denominator 1 plus straight x squared end fraction close parentheses space straight w. straight r. straight t. space tan to the power of negative 1 end exponent straight x.
84 Views

488. Differentiate space colon space tan to the power of negative 1 end exponent open parentheses fraction numerator square root of 1 plus straight x squared end root over denominator straight x end fraction close parentheses space straight w. straight r. straight t. space sin to the power of negative 1 end exponent open parentheses fraction numerator 2 straight x over denominator 1 plus straight x squared end fraction close parentheses.
76 Views

Advertisement
Advertisement

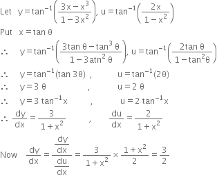
489. Differentiate space tan to the power of negative 1 end exponent open parentheses fraction numerator 3 straight x minus straight x cubed over denominator 1 minus 3 straight x squared end fraction close parentheses space straight w. straight r. straight t. space tan to the power of negative 1 end exponent open parentheses fraction numerator 2 straight x over denominator 1 minus straight x squared end fraction close parentheses


Let space space space straight y equals tan to the power of negative 1 end exponent open parentheses fraction numerator 3 straight x minus straight x cubed over denominator 1 minus 3 straight x squared end fraction close parentheses comma space straight u equals tan to the power of negative 1 end exponent open parentheses fraction numerator 2 straight x over denominator 1 minus straight x squared end fraction close parentheses
Put space space space straight x equals tan space straight theta
therefore space space space space space straight y equals tan to the power of negative 1 end exponent open parentheses fraction numerator 3 tan space straight theta minus tan cubed space straight theta over denominator 1 minus 3 atn squared space straight theta end fraction close parentheses comma space straight u equals tan to the power of negative 1 end exponent open parentheses fraction numerator 2 tan space straight theta over denominator 1 minus tan squared straight theta end fraction close parentheses
therefore space space space space space straight y equals tan to the power of negative 1 end exponent left parenthesis tan space 3 straight theta right parenthesis space space comma space space space space space space space space space space space space straight u equals tan to the power of negative 1 end exponent left parenthesis 2 straight theta right parenthesis
therefore space space space space space straight y equals 3 space straight theta space space space space space space space space space space space space space space space space space space space space comma space space space space space space space space space space space space space straight u equals 2 space straight theta
therefore space space space space space straight y equals 3 space tan to the power of negative 1 end exponent straight x space space space space space space space space space space space comma space space space space space space space space space space space space space straight u equals 2 space tan to the power of negative 1 end exponent straight x
therefore space dy over dx equals fraction numerator 3 over denominator 1 plus straight x squared end fraction space space space space space space space space space space space comma space space space space space space space space du over dx equals fraction numerator 2 over denominator 1 plus straight x squared end fraction
Now space space space space dy over dx equals fraction numerator begin display style dy over dx end style over denominator begin display style du over dx end style end fraction equals fraction numerator 3 over denominator 1 plus straight x squared end fraction cross times fraction numerator 1 plus straight x squared over denominator 2 end fraction equals 3 over 2
89 Views

Advertisement
490. Differentiate space colon space cos to the power of negative 1 end exponent open parentheses fraction numerator 1 minus straight x squared over denominator 1 plus straight x squared end fraction close parentheses space straight w. straight r. straight t. space tan to the power of negative 1 end exponent open parentheses fraction numerator 3 straight x minus straight x cubed over denominator 1 minus 3 straight x squared end fraction close parentheses
82 Views

Advertisement