from Mathematics Continuity and Differentiability

Previous Year Papers

Download Solved Question Papers Free for Offline Practice and view Solutions Online.

Test Series

Take Zigya Full and Sectional Test Series. Time it out for real assessment and get your results instantly.

Test Yourself

Practice and master your preparation for a specific topic or chapter. Check you scores at the end of the test.
Advertisement

 Multiple Choice QuestionsShort Answer Type

551. If y=ea xsin bx, prove thatfraction numerator straight d squared straight y over denominator dx squared end fraction minus 2 straight a dy over dx plus left parenthesis straight a squared plus straight b squared right parenthesis straight y equals 0
74 Views

552. If space straight y equals straight x space log open parentheses fraction numerator straight x over denominator straight a plus straight b space straight x end fraction close parentheses comma space prove space that space straight x cubed fraction numerator straight d squared straight y over denominator dx squared end fraction equals open parentheses straight x dy over dx minus straight y squared close parentheses.
74 Views

553. If space straight x equals tan open parentheses 1 over straight a log space straight y close parentheses comma space show space that space left parenthesis 1 plus straight x squared right parenthesis fraction numerator straight d squared straight y over denominator dx squared end fraction plus left parenthesis 2 space straight x minus straight a right parenthesis dy over dx equals 0.
89 Views

554. If y=xx, prove that fraction numerator straight d squared straight y over denominator dx squared end fraction minus 1 over straight y open parentheses dy over dx close parentheses squared minus straight y over straight x equals 0.
82 Views

Advertisement
555. If space space space space straight y equals left parenthesis straight a plus straight b space straight t right parenthesis space straight e to the power of straight n space straight t end exponent comma space prove space that space fraction numerator straight d squared straight y over denominator dx squared end fraction minus 2 straight n dy over dx plus straight n squared straight y equals 0.
73 Views

556. If space straight y equals fraction numerator straight a space straight x plus straight b over denominator straight c space straight x plus straight d end fraction comma space prove space that space 2 straight y subscript 1 space straight y subscript 3 equals 3 space straight y subscript 2 squared.
75 Views

Advertisement

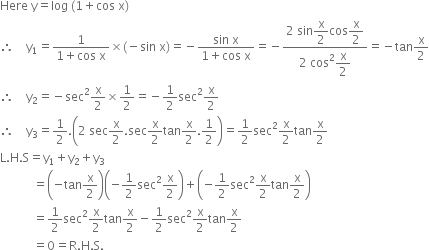
557. If space straight y equals log space left parenthesis 1 plus cos space straight x right parenthesis comma space prove space that space straight y subscript 1 space straight y subscript 2 plus straight y subscript 3 equals 0.


Here space straight y equals log space left parenthesis 1 plus cos space straight x right parenthesis
therefore space space space space straight y subscript 1 equals fraction numerator 1 over denominator 1 plus cos space straight x end fraction cross times left parenthesis negative sin space straight x right parenthesis equals negative fraction numerator sin space straight x over denominator 1 plus cos space straight x end fraction equals negative fraction numerator 2 space sin begin display style straight x over 2 end style cos begin display style straight x over 2 end style over denominator 2 space cos squared begin display style straight x over 2 end style end fraction equals negative tan straight x over 2
therefore space space space space straight y subscript 2 equals negative sec squared straight x over 2 cross times 1 half equals negative 1 half sec squared straight x over 2
therefore space space space space straight y subscript 3 equals 1 half. open parentheses 2 space sec straight x over 2. sec straight x over 2 tan straight x over 2.1 half close parentheses equals 1 half sec squared straight x over 2 tan straight x over 2
straight L. straight H. straight S equals straight y subscript 1 plus straight y subscript 2 plus straight y subscript 3
space space space space space space space space space space space equals open parentheses negative tan straight x over 2 close parentheses open parentheses negative 1 half sec squared straight x over 2 close parentheses plus open parentheses negative 1 half sec squared straight x over 2 tan straight x over 2 close parentheses
space space space space space space space space space space space equals 1 half sec squared straight x over 2 tan straight x over 2 minus 1 half sec squared straight x over 2 tan straight x over 2
space space space space space space space space space space space equals 0 equals straight R. straight H. straight S.
91 Views

Advertisement
558. If space 2 space straight y equals straight x open parentheses 1 plus dy over dx close parentheses comma space show space that space fraction numerator straight d squared straight y over denominator dx squared end fraction space is space constant space.
93 Views

Advertisement
559. If y = (tan-1 x)2, then prove that (1 + x2)2 y2 + 2x(1 + x2)y1 = 2.
79 Views

560. If space straight y equals sin to the power of negative 1 end exponent straight x comma space then space show space that space open parentheses 1 minus straight x squared close parentheses fraction numerator straight d squared straight y over denominator dx squared end fraction minus straight x dy over dx equals 0.
81 Views

Advertisement