from Mathematics Continuity and Differentiability

Previous Year Papers

Download Solved Question Papers Free for Offline Practice and view Solutions Online.

Test Series

Take Zigya Full and Sectional Test Series. Time it out for real assessment and get your results instantly.

Test Yourself

Practice and master your preparation for a specific topic or chapter. Check you scores at the end of the test.
Advertisement

 Multiple Choice QuestionsShort Answer Type

551. If y=ea xsin bx, prove thatfraction numerator straight d squared straight y over denominator dx squared end fraction minus 2 straight a dy over dx plus left parenthesis straight a squared plus straight b squared right parenthesis straight y equals 0
74 Views

552. If space straight y equals straight x space log open parentheses fraction numerator straight x over denominator straight a plus straight b space straight x end fraction close parentheses comma space prove space that space straight x cubed fraction numerator straight d squared straight y over denominator dx squared end fraction equals open parentheses straight x dy over dx minus straight y squared close parentheses.
74 Views

553. If space straight x equals tan open parentheses 1 over straight a log space straight y close parentheses comma space show space that space left parenthesis 1 plus straight x squared right parenthesis fraction numerator straight d squared straight y over denominator dx squared end fraction plus left parenthesis 2 space straight x minus straight a right parenthesis dy over dx equals 0.
89 Views

554. If y=xx, prove that fraction numerator straight d squared straight y over denominator dx squared end fraction minus 1 over straight y open parentheses dy over dx close parentheses squared minus straight y over straight x equals 0.
82 Views

Advertisement
555. If space space space space straight y equals left parenthesis straight a plus straight b space straight t right parenthesis space straight e to the power of straight n space straight t end exponent comma space prove space that space fraction numerator straight d squared straight y over denominator dx squared end fraction minus 2 straight n dy over dx plus straight n squared straight y equals 0.
73 Views

556. If space straight y equals fraction numerator straight a space straight x plus straight b over denominator straight c space straight x plus straight d end fraction comma space prove space that space 2 straight y subscript 1 space straight y subscript 3 equals 3 space straight y subscript 2 squared.
75 Views

557. If space straight y equals log space left parenthesis 1 plus cos space straight x right parenthesis comma space prove space that space straight y subscript 1 space straight y subscript 2 plus straight y subscript 3 equals 0.
91 Views

Advertisement

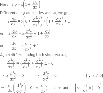
558. If space 2 space straight y equals straight x open parentheses 1 plus dy over dx close parentheses comma space show space that space fraction numerator straight d squared straight y over denominator dx squared end fraction space is space constant space.


Here space space space 2 space straight y equals straight x open parentheses 1 plus dy over dx close parentheses
Differentiating space both space sides space straight w. straight r. straight t. straight x comma space we space get comma
space space space space space space space space 2 dy over dx equals straight x open parentheses 0 plus fraction numerator straight d squared straight y over denominator dx squared end fraction close parentheses plus open parentheses 1 plus dy over dx close parentheses plus 1
or space space space space space 2 dy over dx equals straight x fraction numerator straight d squared straight y over denominator dx squared end fraction plus 1 plus dy over dx
or space space space space space space space dy over dx equals straight x fraction numerator straight d squared straight y over denominator dx squared end fraction plus 1
Again space differentiating space both space sides space straight w. straight r. straight t. straight x comma
space space space space space space space fraction numerator straight d squared straight y over denominator dx squared end fraction equals straight x fraction numerator straight d cubed straight y over denominator dx cubed end fraction plus fraction numerator straight d squared straight y over denominator dx squared end fraction.1 plus 0
rightwards double arrow space straight x fraction numerator straight d cubed straight y over denominator dx cubed end fraction equals 0 space space space space space space space space space space space space rightwards double arrow space fraction numerator straight d cubed straight y over denominator dx cubed end fraction equals 0 space space space space space space space space space space space space space space space space space space space space space space space space space space space space space space space space left square bracket because space straight x not equal to 0 right square bracket
rightwards double arrow fraction numerator straight d over denominator space dx end fraction open parentheses fraction numerator straight d cubed straight y over denominator dx cubed end fraction close parentheses equals 0 space space rightwards double arrow fraction numerator straight d squared straight y over denominator dx squared end fraction equals space constant. space space space space space space open square brackets because space straight d over dx left parenthesis straight c right parenthesis equals 0 close square brackets
93 Views

Advertisement
Advertisement
559. If y = (tan-1 x)2, then prove that (1 + x2)2 y2 + 2x(1 + x2)y1 = 2.
79 Views

560. If space straight y equals sin to the power of negative 1 end exponent straight x comma space then space show space that space open parentheses 1 minus straight x squared close parentheses fraction numerator straight d squared straight y over denominator dx squared end fraction minus straight x dy over dx equals 0.
81 Views

Advertisement