Define the terms (i) ‘cut-off voltage’ and (ii) ‘threshold

Subject

Physics

Class

CBSE Class 12

Pre Boards

Practice to excel and get familiar with the paper pattern and the type of questions. Check you answers with answer keys provided.

Sample Papers

Download the PDF Sample Papers Free for off line practice and view the Solutions online.
Advertisement

 Multiple Choice QuestionsShort Answer Type

21.

Describe briefly with the help of a circuit diagram, how the flow of current carries in a p-n-p transistor is regulated with emitter-base junction forward biased and base-collector junction reverse biased. 

1786 Views

22.

In the given block diagram of a receiver, identify the boxes labelled as X and Y and write their functions.

810 Views

23.

You are given three lenses L1, L2 and L3 each of focal length 20 cm. An object is kept at 40 cm in front of L1, as shown. The final real image is formed at the focus ‘I’ of L3. Find the separations between L1, L2 and L3.

2472 Views

Advertisement

24.

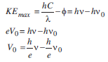
Define the terms (i) ‘cut-off voltage’ and (ii) ‘threshold frequency’ in relation to the phenomenon of photoelectric effect.

Using Einstein’s photoelectric equation shows how the cut-off voltage and threshold frequency for a given photosensitive material can be determined with the help of a suitable plot/graph.        


i) Cut-off or stopping potential is that minimum value of negative potential at anode which just stops the photo electric current.

ii) The minimum frequency of light below which no photo electric emission will take place is known as threshold frequency.
 

Now using Einstein’s photoelectric equation, we have 
 

Clearly, Vo graph is a straight line.

1895 Views

Advertisement
Advertisement
25.

Mention three ‘different modes of propagation used in communication system. Explain with the help of a diagram how long distance communication can be achieved by ionospheric reflection of radio waves.           

1272 Views

26.

Draw a plot of potential energy of a pair of nucleons as a function of their separations. Mark the regions where the nuclear force is (i) attractive and (ii) repulsive. Write any two characteristic features of nuclear forces. 

2083 Views

27.

In a Geiger–Marsden experiment, calculate the distance of closest approach to the nucleus of Z =80, when an a-particle of 8 MeV energy impinges on it before it comes momentarily to rest and reverses its direction.

How will the distance of closest approach be affected when the kinetic energy of the a-particle is doubled?

1400 Views

28.

The ground state energy of hydrogen atom is – 13.6 eV. If an electron makes a transition from an energy level – 0.85 eV to –3.4 eV, calculate the wavelength of the spectral line emitted. To which series of hydrogen spectrum does this wavelength belong?

1059 Views

Advertisement
29.

Write any two characteristic properties of nuclear force.

1335 Views

 Multiple Choice QuestionsLong Answer Type

30.

(a)

Write the expression for the force , acting on a charged particle of charge ‘q’, moving with a velocity in the presence of both electric field E and magnetic field B. Obtain the condition under which the particle moves un deflected through the fields.

(b)

A rectangular loop of size l × b carrying a steady current I is placed in a uniform magnetic field. Prove that the torque  acting on the loop is given by  is the magnetic moment of the loop.

2269 Views

Advertisement