Find the points on the curve y = x3 – 2x2 – x at which th

Previous Year Papers

Download Solved Question Papers Free for Offline Practice and view Solutions Online.

Test Series

Take Zigya Full and Sectional Test Series. Time it out for real assessment and get your results instantly.

Test Yourself

Practice and master your preparation for a specific topic or chapter. Check you scores at the end of the test.
Advertisement

 Multiple Choice QuestionsShort Answer Type

101. Find the point on the curve y = x3 – 11 x + 5 at which the tangent has the equation y = x – 11.
78 Views

102.

Find the point on the curve y = x3 – 2x2 – 2x at which the tangent lines are parallel to the line y = 2x – 3.

93 Views

Advertisement

103.

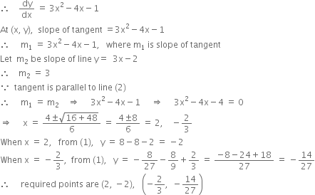
Find the points on the curve y = x3 – 2x2 – x at which the tangent lines are parallel to the line y = 3x – 2.


The equation of curve is   straight y equals straight x cubed minus 2 straight x squared minus straight x                                  ...(1)
therefore space space space space dy over dx space equals space 3 straight x squared minus 4 straight x minus 1
At space left parenthesis straight x comma space straight y right parenthesis comma space space slope space of space tangent space equals 3 straight x squared minus 4 straight x minus 1
therefore space space space space space straight m subscript 1 space equals space 3 straight x squared minus 4 straight x minus 1 comma space space space where space straight m subscript 1 space is space slope space of space tangent
Let space space straight m subscript 2 space be space slope space of space line space straight y equals space space 3 straight x minus 2
therefore space space space space straight m subscript 2 space equals space 3
because space space tangent space is space parallel space to space line space left parenthesis 2 right parenthesis
therefore space space space space space straight m subscript 1 space equals space straight m subscript 2 space space space space rightwards double arrow space space space space space 3 straight x squared minus 4 straight x minus 1 space space space space space rightwards double arrow space space space space space 3 straight x squared minus 4 straight x minus 4 space equals space 0
rightwards double arrow space space space space space straight x space equals space fraction numerator 4 plus-or-minus square root of 16 plus 48 end root over denominator 6 end fraction space equals space fraction numerator 4 plus-or-minus 8 over denominator 6 end fraction space equals space 2 comma space space space space minus 2 over 3
When space straight x space equals space 2 comma space space space from space left parenthesis 1 right parenthesis comma space space space straight y space equals space 8 minus 8 minus 2 space equals space minus 2
When space straight x space equals space minus 2 over 3 comma space space from space left parenthesis 1 right parenthesis comma space space space straight y space equals space minus 8 over 27 minus 8 over 9 plus 2 over 3 space equals space fraction numerator negative 8 minus 24 plus 18 over denominator 27 end fraction space equals space minus 14 over 27
therefore space space space space space required space points space are space left parenthesis 2 comma space minus 2 right parenthesis comma space space space open parentheses negative 2 over 3 comma space space minus 14 over 27 close parentheses

74 Views

Advertisement
104.

Find the equation of the tangent to the curve x2 + 3y = 3, which is parallel to the line y – 4x + 5 = 0. 

76 Views

Advertisement
105.

Find the equations of all lines having slope -1 that are tangents to the curve straight y equals fraction numerator 1 over denominator straight x minus 1 end fraction. straight x not equal to 1.

74 Views

106.

Find the equation of all lines having slope 2 and being tangent to the curve straight y plus fraction numerator 2 over denominator straight x minus 3 end fraction space equals space 0.

74 Views

 Multiple Choice QuestionsLong Answer Type

107.

Find the equation of all lines having 0 slope and that are tangent to the curve straight y equals fraction numerator 1 over denominator straight x squared minus 2 straight x plus 2 end fraction.

76 Views

 Multiple Choice QuestionsShort Answer Type

108.

Find the equation of the tangent to the curve straight y equals square root of 3 straight x minus 2 end root which is parallel to the line 4x - 2y + 5 = 0

71 Views

Advertisement

 Multiple Choice QuestionsLong Answer Type

109.

Find the equation of tangents to the curve
y = cos (x + y), – 2 straight pi ≤ x ≤ 2 straight pi
that are parallel to the line x + 2y = 0.

91 Views

110.

Find the point on curve 4x2 + 9y2 = 1, where the tangents are perpendicular to the line 2y + x = 0.

159 Views

Advertisement