Find the equation of tangents to the curvey = cos (x + y), – 2

Previous Year Papers

Download Solved Question Papers Free for Offline Practice and view Solutions Online.

Test Series

Take Zigya Full and Sectional Test Series. Time it out for real assessment and get your results instantly.

Test Yourself

Practice and master your preparation for a specific topic or chapter. Check you scores at the end of the test.
Advertisement

 Multiple Choice QuestionsShort Answer Type

101. Find the point on the curve y = x3 – 11 x + 5 at which the tangent has the equation y = x – 11.
78 Views

102.

Find the point on the curve y = x3 – 2x2 – 2x at which the tangent lines are parallel to the line y = 2x – 3.

93 Views

103.

Find the points on the curve y = x3 – 2x2 – x at which the tangent lines are parallel to the line y = 3x – 2.

74 Views

104.

Find the equation of the tangent to the curve x2 + 3y = 3, which is parallel to the line y – 4x + 5 = 0. 

76 Views

Advertisement
105.

Find the equations of all lines having slope -1 that are tangents to the curve straight y equals fraction numerator 1 over denominator straight x minus 1 end fraction. straight x not equal to 1.

74 Views

106.

Find the equation of all lines having slope 2 and being tangent to the curve straight y plus fraction numerator 2 over denominator straight x minus 3 end fraction space equals space 0.

74 Views

 Multiple Choice QuestionsLong Answer Type

107.

Find the equation of all lines having 0 slope and that are tangent to the curve straight y equals fraction numerator 1 over denominator straight x squared minus 2 straight x plus 2 end fraction.

76 Views

 Multiple Choice QuestionsShort Answer Type

108.

Find the equation of the tangent to the curve straight y equals square root of 3 straight x minus 2 end root which is parallel to the line 4x - 2y + 5 = 0

71 Views

Advertisement

 Multiple Choice QuestionsLong Answer Type

Advertisement

109.

Find the equation of tangents to the curve
y = cos (x + y), – 2 straight pi ≤ x ≤ 2 straight pi
that are parallel to the line x + 2y = 0.


The equation of curve is
                                       y = cos (x + y)                         ...(1)
Differentiating both sides w.r.t.x, we get,
                          dy over dx space equals space minus sin space left parenthesis straight x plus straight y right parenthesis. space space space open parentheses 1 plus dy over dx close parentheses

or                      dy over dx space equals space minus sin space left parenthesis straight x plus straight y right parenthesis space minus space sin space left parenthesis straight x plus straight y right parenthesis. space dy over dx
therefore space space space left square bracket 1 plus sin space left parenthesis straight x plus straight y right parenthesis space dy over dx space equals space minus sin space left parenthesis straight x plus straight y right parenthesis
therefore space space space space space space space space dy over dx space equals space minus fraction numerator sin space left parenthesis straight x plus straight y right parenthesis over denominator 1 plus sin space left parenthesis straight x plus straight y right parenthesis end fraction
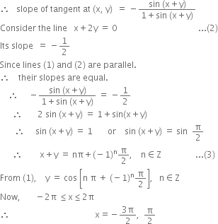
therefore space space space slope space of space tangent space at space left parenthesis straight x comma space straight y right parenthesis space space equals space minus fraction numerator sin space left parenthesis straight x plus straight y right parenthesis over denominator 1 plus sin space left parenthesis straight x plus straight y right parenthesis end fraction
Consider space the space line space space space straight x plus 2 straight y space equals space 0 space space space space space space space space space space space space space space space space space space space space space space space space space space space space space space space space space space space space space space... left parenthesis 2 right parenthesis
Its space slope space space equals space minus 1 half
Since space lines space left parenthesis 1 right parenthesis space and space left parenthesis 2 right parenthesis space are space parallel.
therefore space space space space their space slopes space are space equal.
space space space space therefore space space space space space minus fraction numerator sin space left parenthesis straight x plus straight y right parenthesis over denominator 1 plus sin space left parenthesis straight x plus straight y right parenthesis end fraction space equals space minus 1 half
space space space space space space therefore space space space space space space space 2 space sin space left parenthesis straight x plus straight y right parenthesis space equals space 1 plus sin left parenthesis straight x plus straight y right parenthesis
space space space space space space space therefore space space space space space sin space left parenthesis straight x plus straight y right parenthesis space equals space 1 space space space space space space space or space space space space sin space left parenthesis straight x plus straight y right parenthesis space equals space sin space space straight pi over 2
space space space space space space therefore space space space space space space space space straight x plus straight y space equals space nπ plus left parenthesis negative 1 right parenthesis to the power of straight n straight pi over 2 comma space space space space straight n element of straight Z space space space space space space space space space space space space space space space space... left parenthesis 3 right parenthesis
From space left parenthesis 1 right parenthesis comma space space space space straight y space equals space cos space open square brackets straight n space straight pi space plus space left parenthesis negative 1 right parenthesis to the power of straight n straight pi over 2 close square brackets comma space space space straight n element of straight Z
Now comma space space space space space space space minus 2 straight pi space less or equal than straight x less or equal than 2 straight pi
therefore space space space space space space space space space space space space space space space space space space space space space space space space space space space space space space space space space space space space space space space space straight x equals negative fraction numerator 3 straight pi over denominator 2 end fraction comma space space straight pi over 2

therefore space space space space space space tangents space to space the space given space curve space left parenthesis 1 right parenthesis space are space parallel space to space the space line space straight x plus 2 space straight y space equals space 0 space at space points space open parentheses negative fraction numerator 3 straight pi over denominator 2 end fraction comma space 0 close parentheses comma space open parentheses straight pi over 2 comma space 0 close parentheses
  The equation of tangent at open parentheses negative fraction numerator 3 straight pi over denominator 2 end fraction comma space space 0 close parentheses is 
                                 straight y minus 0 space equals space minus 1 half open parentheses straight x plus fraction numerator 3 straight pi over denominator 2 end fraction close parentheses space space space or space space space space space 2 straight y space equals negative straight x minus fraction numerator 3 straight pi over denominator 2 end fraction
or                         4 straight y space equals space minus 2 straight x plus straight pi space space space space or space space space 2 straight x plus 4 straight y minus straight pi space equals space 0
The equation of tangent at open parentheses straight pi over 2 comma space 0 close parentheses is
                        straight y minus 0 space equals space minus 1 half open parentheses straight x minus straight pi over 2 close parentheses space space space space or space space space 2 straight y space equals negative straight x plus straight pi over 2
or                  4 straight y space equals space minus 2 straight x plus straight pi space space space space space space space or space space space space space 2 straight x plus 4 straight y minus straight pi space equals space 0

91 Views

Advertisement
110.

Find the point on curve 4x2 + 9y2 = 1, where the tangents are perpendicular to the line 2y + x = 0.

159 Views

Advertisement