Find the equation of the tangent to the curve  which is parall

Previous Year Papers

Download Solved Question Papers Free for Offline Practice and view Solutions Online.

Test Series

Take Zigya Full and Sectional Test Series. Time it out for real assessment and get your results instantly.

Test Yourself

Practice and master your preparation for a specific topic or chapter. Check you scores at the end of the test.
Advertisement

 Multiple Choice QuestionsShort Answer Type

101. Find the point on the curve y = x3 – 11 x + 5 at which the tangent has the equation y = x – 11.
78 Views

102.

Find the point on the curve y = x3 – 2x2 – 2x at which the tangent lines are parallel to the line y = 2x – 3.

93 Views

103.

Find the points on the curve y = x3 – 2x2 – x at which the tangent lines are parallel to the line y = 3x – 2.

74 Views

104.

Find the equation of the tangent to the curve x2 + 3y = 3, which is parallel to the line y – 4x + 5 = 0. 

76 Views

Advertisement
105.

Find the equations of all lines having slope -1 that are tangents to the curve straight y equals fraction numerator 1 over denominator straight x minus 1 end fraction. straight x not equal to 1.

74 Views

106.

Find the equation of all lines having slope 2 and being tangent to the curve straight y plus fraction numerator 2 over denominator straight x minus 3 end fraction space equals space 0.

74 Views

 Multiple Choice QuestionsLong Answer Type

107.

Find the equation of all lines having 0 slope and that are tangent to the curve straight y equals fraction numerator 1 over denominator straight x squared minus 2 straight x plus 2 end fraction.

76 Views

 Multiple Choice QuestionsShort Answer Type

Advertisement

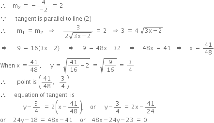
108.

Find the equation of the tangent to the curve straight y equals square root of 3 straight x minus 2 end root which is parallel to the line 4x - 2y + 5 = 0


The equation of curve is  straight y space equals square root of 3 straight x minus 2 end root.                        ...(1)
therefore space space space space space dy over dx space equals fraction numerator 3 over denominator 2 square root of 3 straight x minus 2 end root end fraction
therefore space space space space at space left parenthesis straight x comma space straight y right parenthesis comma space space slope space of space tangent space space equals space fraction numerator 3 over denominator 2 square root of 3 straight x minus 2 end root end fraction
therefore space space space space space straight m subscript 1 space equals space fraction numerator 3 over denominator 2 square root of 3 straight x minus 2 end root end fraction comma space space space where space straight m subscript 1 space is space slope space of space tangent
Let space space straight m subscript 2 space be space slope space of space line space 4 straight x minus 2 straight y plus 5 space equals space 0 space space space space space space space space space space space space space space space space space space space space space space space space space space space space space... left parenthesis 2 right parenthesis
therefore space space space space straight m subscript 2 space equals space minus fraction numerator 4 over denominator negative 2 end fraction space equals space 2
because space space space space space space tangent space is space parallel space to space line space left parenthesis 2 right parenthesis
therefore space space space space space space space straight m subscript 1 space equals space straight m subscript 2 space space space rightwards double arrow space space space space space fraction numerator 3 over denominator 2 square root of 3 straight x minus 2 end root end fraction space equals space 2 space space space rightwards double arrow space 3 space equals space 4 space square root of 3 straight x minus 2 end root
rightwards double arrow space space space space space space 9 space equals space 16 left parenthesis 3 straight x minus 2 right parenthesis space space space space space rightwards double arrow space space space space space 9 space equals space 48 straight x minus 32 space space space space space rightwards double arrow space space space space 48 straight x space equals space 41 space space space rightwards double arrow space space space space straight x space equals space 41 over 48
When space straight x space equals 41 over 48 comma space space space space space space straight y space equals space square root of 41 over 16 minus 2 end root space equals space square root of 9 over 16 end root space equals space 3 over 4
therefore space space space space space space space point space is space open parentheses 41 over 48 comma space space space 3 over 4 close parentheses
therefore space space space space space equation space of space tangent space space is
space space space space space space space space space space space space space space space space straight y minus 3 over 4 space space equals space 2 open parentheses straight x minus 41 over 48 close parentheses comma space space space space or space space space space space space straight y minus 3 over 4 space equals space 2 straight x minus 41 over 24
or space space space space space 24 straight y minus 18 space equals space 48 straight x minus 41 space space space space space or space space space space 48 straight x minus 24 straight y minus 23 space equals space 0

71 Views

Advertisement
Advertisement

 Multiple Choice QuestionsLong Answer Type

109.

Find the equation of tangents to the curve
y = cos (x + y), – 2 straight pi ≤ x ≤ 2 straight pi
that are parallel to the line x + 2y = 0.

91 Views

110.

Find the point on curve 4x2 + 9y2 = 1, where the tangents are perpendicular to the line 2y + x = 0.

159 Views

Advertisement