Differentiate the following w.r.t.x: from Mathematics Continuit

Previous Year Papers

Download Solved Question Papers Free for Offline Practice and view Solutions Online.

Test Series

Take Zigya Full and Sectional Test Series. Time it out for real assessment and get your results instantly.

Test Yourself

Practice and master your preparation for a specific topic or chapter. Check you scores at the end of the test.
Advertisement

 Multiple Choice QuestionsShort Answer Type

161.  Differentiate the following w.r.t.x: cube root of 2 straight x to the power of 4 plus straight x squared minus straight x end root
92 Views

162. Differentiate the following w.r.t.x:fraction numerator 3 over denominator left parenthesis 2 straight x squared plus 5 right parenthesis squared end fraction
88 Views

163. Differentiate the following w.r.t.x: square root of fraction numerator straight x squared minus 2 ax over denominator straight a squared minus 2 ab end fraction end root
88 Views

164. Differentiate the following w.r.t.x:square root of fraction numerator 1 plus straight x over denominator 1 minus straight x end fraction end root
89 Views

Advertisement
Advertisement

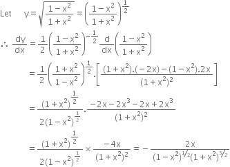
165. Differentiate the following w.r.t.x:square root of fraction numerator 1 minus straight x squared over denominator 1 plus straight x squared end fraction end root


Let space space space space space space straight y equals square root of fraction numerator 1 minus straight x squared over denominator 1 plus straight x squared end fraction end root equals open parentheses fraction numerator 1 minus straight x squared over denominator 1 plus straight x squared end fraction close parentheses to the power of 1 half end exponent
therefore space dy over dx equals 1 half open parentheses fraction numerator 1 minus straight x squared over denominator 1 plus straight x squared end fraction close parentheses to the power of negative 1 half end exponent straight d over dx open parentheses fraction numerator 1 minus straight x squared over denominator 1 plus straight x squared end fraction close parentheses
space space space space space space space space space space space space space equals 1 half open parentheses fraction numerator 1 plus straight x squared over denominator 1 minus straight x squared end fraction close parentheses to the power of 1 half end exponent. open square brackets fraction numerator left parenthesis 1 plus straight x squared right parenthesis. left parenthesis negative 2 straight x right parenthesis minus left parenthesis 1 minus straight x squared right parenthesis.2 straight x over denominator left parenthesis 1 plus straight x squared right parenthesis squared end fraction close square brackets
space space space space space space space space space space space space space equals fraction numerator left parenthesis 1 plus straight x squared right parenthesis to the power of begin display style 1 half end style end exponent over denominator 2 left parenthesis 1 minus straight x squared right parenthesis to the power of 1 half end exponent end fraction. fraction numerator negative 2 straight x minus 2 straight x cubed minus 2 straight x plus 2 straight x cubed over denominator left parenthesis 1 plus straight x squared right parenthesis squared end fraction
space space space space space space space space space space space space space equals fraction numerator left parenthesis 1 plus straight x squared right parenthesis to the power of begin display style 1 half end style end exponent over denominator 2 left parenthesis 1 minus straight x squared right parenthesis to the power of 1 half end exponent end fraction cross times fraction numerator negative 4 straight x over denominator left parenthesis 1 plus straight x squared right parenthesis squared end fraction equals negative fraction numerator 2 straight x over denominator left parenthesis 1 minus straight x squared right parenthesis to the power of bevelled 1 half end exponent left parenthesis 1 plus straight x squared right parenthesis to the power of bevelled 3 over 2 end exponent end fraction
87 Views

Advertisement
166.

Find f'(x) where f(x)=square root of fraction numerator 1 minus straight x over denominator 2 plus straight x end fraction end root

92 Views

167. Differentiate square root of 3 straight x squared plus 2 straight x end root w.r.t x.
93 Views

168. Differentiatefraction numerator 1 over denominator straight x plus square root of 1 plus straight x squared end root end fraction w.r.t x.
83 Views

Advertisement
169. If space straight y equals open parentheses straight x plus square root of straight x squared plus straight a squared end root close parentheses to the power of straight n comma space prove space that space dy over dn equals fraction numerator ny over denominator square root of straight x squared plus straight a squared end root end fraction.
75 Views

170. Differentiate x(1 + log x)w.r.t.x.
85 Views

Advertisement