Find f'(x) where f(x)= from Mathematics Continuity and Differen

Previous Year Papers

Download Solved Question Papers Free for Offline Practice and view Solutions Online.

Test Series

Take Zigya Full and Sectional Test Series. Time it out for real assessment and get your results instantly.

Test Yourself

Practice and master your preparation for a specific topic or chapter. Check you scores at the end of the test.
Advertisement

 Multiple Choice QuestionsShort Answer Type

161.  Differentiate the following w.r.t.x: cube root of 2 straight x to the power of 4 plus straight x squared minus straight x end root
92 Views

162. Differentiate the following w.r.t.x:fraction numerator 3 over denominator left parenthesis 2 straight x squared plus 5 right parenthesis squared end fraction
88 Views

163. Differentiate the following w.r.t.x: square root of fraction numerator straight x squared minus 2 ax over denominator straight a squared minus 2 ab end fraction end root
88 Views

164. Differentiate the following w.r.t.x:square root of fraction numerator 1 plus straight x over denominator 1 minus straight x end fraction end root
89 Views

Advertisement
165. Differentiate the following w.r.t.x:square root of fraction numerator 1 minus straight x squared over denominator 1 plus straight x squared end fraction end root
87 Views

Advertisement

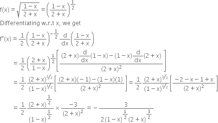
166.

Find f'(x) where f(x)=square root of fraction numerator 1 minus straight x over denominator 2 plus straight x end fraction end root


straight f left parenthesis straight x right parenthesis equals square root of fraction numerator 1 minus straight x over denominator 2 plus straight x end fraction end root equals open parentheses fraction numerator 1 minus straight x over denominator 2 plus straight x end fraction close parentheses to the power of 1 half end exponent
Differentiating space straight w. straight r. straight t space straight x comma space we space get
straight f apostrophe left parenthesis straight x right parenthesis equals 1 half open parentheses fraction numerator 1 minus straight x over denominator 2 plus straight x end fraction close parentheses to the power of negative 1 half end exponent straight d over dx open parentheses fraction numerator 1 minus straight x over denominator 2 plus straight x end fraction close parentheses
space space space space space space space space equals 1 half open parentheses fraction numerator 2 plus straight x over denominator 1 minus straight x end fraction close parentheses to the power of 1 half end exponent open square brackets fraction numerator left parenthesis 2 plus straight x right parenthesis begin display style straight d over dx end style left parenthesis 1 minus straight x right parenthesis minus left parenthesis 1 minus straight x right parenthesis begin display style straight d over dx end style left parenthesis 2 plus straight x right parenthesis over denominator left parenthesis 2 plus straight x right parenthesis squared end fraction close square brackets
space space space space space space space space equals 1 half fraction numerator left parenthesis 2 plus straight x right parenthesis to the power of bevelled 1 half end exponent over denominator left parenthesis 1 minus straight x right parenthesis to the power of bevelled 1 half end exponent end fraction open square brackets fraction numerator left parenthesis 2 plus straight x right parenthesis left parenthesis negative 1 right parenthesis minus left parenthesis 1 minus straight x right parenthesis left parenthesis 1 right parenthesis over denominator left parenthesis 2 plus straight x right parenthesis squared end fraction close square brackets equals 1 half fraction numerator left parenthesis 2 plus straight x right parenthesis to the power of bevelled 1 half end exponent over denominator left parenthesis 1 minus straight x right parenthesis to the power of bevelled 1 half end exponent end fraction open square brackets fraction numerator negative 2 minus straight x minus 1 plus straight x over denominator left parenthesis 2 plus straight x right parenthesis squared end fraction close square brackets
space space space space space space space space equals 1 half fraction numerator left parenthesis 2 plus straight x right parenthesis to the power of begin display style 1 half end style end exponent over denominator left parenthesis 1 minus straight x right parenthesis to the power of begin display style 1 half end style end exponent end fraction cross times fraction numerator negative 3 over denominator left parenthesis 2 plus straight x right parenthesis squared end fraction equals negative fraction numerator 3 over denominator 2 left parenthesis 1 minus straight x right parenthesis to the power of begin display style 1 half end style end exponent left parenthesis 2 plus straight x right parenthesis to the power of begin display style 3 over 2 end style end exponent end fraction
92 Views

Advertisement
167. Differentiate square root of 3 straight x squared plus 2 straight x end root w.r.t x.
93 Views

168. Differentiatefraction numerator 1 over denominator straight x plus square root of 1 plus straight x squared end root end fraction w.r.t x.
83 Views

Advertisement
169. If space straight y equals open parentheses straight x plus square root of straight x squared plus straight a squared end root close parentheses to the power of straight n comma space prove space that space dy over dn equals fraction numerator ny over denominator square root of straight x squared plus straight a squared end root end fraction.
75 Views

170. Differentiate x(1 + log x)w.r.t.x.
85 Views

Advertisement