from Mathematics Continuity and Differentiability

Previous Year Papers

Download Solved Question Papers Free for Offline Practice and view Solutions Online.

Test Series

Take Zigya Full and Sectional Test Series. Time it out for real assessment and get your results instantly.

Test Yourself

Practice and master your preparation for a specific topic or chapter. Check you scores at the end of the test.
Advertisement

 Multiple Choice QuestionsShort Answer Type

161.  Differentiate the following w.r.t.x: cube root of 2 straight x to the power of 4 plus straight x squared minus straight x end root
92 Views

162. Differentiate the following w.r.t.x:fraction numerator 3 over denominator left parenthesis 2 straight x squared plus 5 right parenthesis squared end fraction
88 Views

163. Differentiate the following w.r.t.x: square root of fraction numerator straight x squared minus 2 ax over denominator straight a squared minus 2 ab end fraction end root
88 Views

164. Differentiate the following w.r.t.x:square root of fraction numerator 1 plus straight x over denominator 1 minus straight x end fraction end root
89 Views

Advertisement
165. Differentiate the following w.r.t.x:square root of fraction numerator 1 minus straight x squared over denominator 1 plus straight x squared end fraction end root
87 Views

166.

Find f'(x) where f(x)=square root of fraction numerator 1 minus straight x over denominator 2 plus straight x end fraction end root

92 Views

167. Differentiate square root of 3 straight x squared plus 2 straight x end root w.r.t x.
93 Views

168. Differentiatefraction numerator 1 over denominator straight x plus square root of 1 plus straight x squared end root end fraction w.r.t x.
83 Views

Advertisement
Advertisement

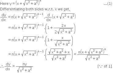
169. If space straight y equals open parentheses straight x plus square root of straight x squared plus straight a squared end root close parentheses to the power of straight n comma space prove space that space dy over dn equals fraction numerator ny over denominator square root of straight x squared plus straight a squared end root end fraction.


Here space straight y equals open parentheses straight x plus square root of straight x squared plus straight a squared end root close parentheses to the power of straight n space space space space space space space space space space space space space space space space space space space space space space space space space space space space space space space space space space space space space space space space space space space space space space space space space space space space space space space space space space space space space space space space space space space space... left parenthesis 1 right parenthesis space space space space space space space space space space space space space space
Differentiating space both space sides space straight w. straight r. straight t. space straight x space we space get comma
dy over dx equals straight n open parentheses straight x plus square root of straight x squared plus straight a squared end root close parentheses to the power of straight n minus 1 end exponent. straight d over dx open parentheses straight x plus square root of straight x squared plus straight a squared end root close parentheses
space space space space space space space space equals straight n open parentheses straight x plus square root of straight x squared plus straight a squared end root close parentheses to the power of straight n minus 1 end exponent. open parentheses 1 plus fraction numerator 2 straight x over denominator 2 square root of straight x squared plus straight a squared end root end fraction close parentheses
space space space space space space space space equals straight n open parentheses straight x plus square root of straight x squared plus straight a squared end root close parentheses to the power of straight n minus 1 end exponent. open parentheses 1 plus fraction numerator straight x over denominator square root of straight x squared plus straight a squared end root end fraction close parentheses
space space space space space space space space equals straight n open parentheses straight x plus square root of straight x squared plus straight a squared end root close parentheses to the power of straight n minus 1 end exponent. open parentheses fraction numerator square root of straight x squared plus straight a squared end root plus straight x over denominator square root of straight x squared plus straight a squared end root end fraction close parentheses equals fraction numerator straight n open parentheses straight x plus square root of straight x squared plus straight a squared end root close parentheses to the power of straight n space over denominator square root of straight x squared plus straight a squared end root end fraction
therefore dy over dx equals fraction numerator ny over denominator square root of straight x squared plus straight a squared end root end fraction space space space space space space space space space space space space space space space space space space space space space space space space space space space space space space space space space space space space space space space space space space space space space space space space space space space space space space space space space space space space space space space space space space space space space space left square bracket because space of space 1 right square bracket
75 Views

Advertisement
170. Differentiate x(1 + log x)w.r.t.x.
85 Views

Advertisement