from Mathematics Continuity and Differentiability

Previous Year Papers

Download Solved Question Papers Free for Offline Practice and view Solutions Online.

Test Series

Take Zigya Full and Sectional Test Series. Time it out for real assessment and get your results instantly.

Test Yourself

Practice and master your preparation for a specific topic or chapter. Check you scores at the end of the test.
Advertisement

 Multiple Choice QuestionsShort Answer Type

371. Differentiate space cos space straight x times cos space 2 straight x. cos 3 straight x space space straight w. straight r. straight t. straight x.
88 Views

372. Find space dy over dx comma space if space straight y equals left parenthesis sin space straight x right parenthesis to the power of sin space straight x to the power of sin space straight x... infinity end exponent end exponent
79 Views

373. If space straight y equals left parenthesis cos right parenthesis to the power of cos space straight x to the power of cos space straight x..... infinity end exponent end exponent comma space prove space that space dy over dx equals negative fraction numerator straight y squared tan space straight x over denominator 1 minus straight y space log space cos space straight x end fraction
83 Views

Advertisement

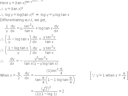
374. If space straight y equals left parenthesis tan space straight x right parenthesis to the power of tan space straight x to the power of tan space straight x.... infinity end exponent end exponent comma space prove space that space dy over dx equals 2 space at space straight x equals straight pi over 2


Here space straight y equals left parenthesis tan space straight x right parenthesis to the power of tan space straight x to the power of tan space straight x.... infinity end exponent end exponent
therefore space straight y equals left parenthesis tan space straight x right parenthesis to the power of straight y
therefore space log space straight y equals log left parenthesis tan space straight x right parenthesis to the power of straight y space rightwards double arrow space log space straight y equals straight y. log space tan space straight x
Differentiating space straight w. straight r. straight t comma space we space get comma
space space space space space 1 over straight y dy over dx equals straight y. fraction numerator sec squared straight x over denominator tan space straight x end fraction plus log space tan space straight x dy over dx
therefore space open parentheses 1 over straight y minus log space tan space straight x close parentheses dy over dx equals fraction numerator straight y space sec squared straight x over denominator tan space straight x end fraction
therefore space open parentheses fraction numerator 1 minus log space tan space straight x over denominator straight y end fraction close parentheses dy over dx equals fraction numerator straight y space sec squared straight x over denominator tan space straight x end fraction
therefore space space space space space dy over dx equals negative fraction numerator straight y squared sec squared straight x over denominator tan space straight x open parentheses 1 minus straight y space log space tan space straight x close parentheses end fraction
When space straight x equals straight pi over 2 comma space dy over dx equals fraction numerator left parenthesis 1 right parenthesis sec squared begin display style straight pi over 4 end style over denominator tan begin display style straight pi over 4 end style open parentheses 1 minus 1 space log space tan begin display style straight pi over 4 end style close parentheses end fraction space space space space space space space space space space space space space space space space open square brackets because space straight y equals 1 space when space straight x equals straight pi over 4 close square brackets
space space space space space space space space space space space space space space space space space space space space space space space space space space space space space space space space space space equals fraction numerator open parentheses square root of 2 close parentheses squared over denominator left parenthesis 1 right parenthesis left parenthesis 1 minus log space 1 right parenthesis end fraction equals 2
86 Views

Advertisement
Advertisement
375. Differentiate (log x)cos x w.r.t. x.
89 Views

376. Differentiate (log x)sin x w.r.t.x.
81 Views

377. Differentiate xsin xw.r.t. (sin x)x
86 Views

378.  Differentiate sin x2w.r.t.x2.
83 Views

Advertisement
379. Differentiate cos(xx) w.r.t.x.
73 Views

380. Differentiate space straight x to the power of tan space straight x end exponent plus square root of fraction numerator straight x squared plus 1 over denominator straight x end fraction end root straight w. straight r. straight t. straight x.
77 Views

Advertisement