from Mathematics Continuity and Differentiability

Previous Year Papers

Download Solved Question Papers Free for Offline Practice and view Solutions Online.

Test Series

Take Zigya Full and Sectional Test Series. Time it out for real assessment and get your results instantly.

Test Yourself

Practice and master your preparation for a specific topic or chapter. Check you scores at the end of the test.
Advertisement

 Multiple Choice QuestionsShort Answer Type

371. Differentiate space cos space straight x times cos space 2 straight x. cos 3 straight x space space straight w. straight r. straight t. straight x.
88 Views

372. Find space dy over dx comma space if space straight y equals left parenthesis sin space straight x right parenthesis to the power of sin space straight x to the power of sin space straight x... infinity end exponent end exponent
79 Views

373. If space straight y equals left parenthesis cos right parenthesis to the power of cos space straight x to the power of cos space straight x..... infinity end exponent end exponent comma space prove space that space dy over dx equals negative fraction numerator straight y squared tan space straight x over denominator 1 minus straight y space log space cos space straight x end fraction
83 Views

374. If space straight y equals left parenthesis tan space straight x right parenthesis to the power of tan space straight x to the power of tan space straight x.... infinity end exponent end exponent comma space prove space that space dy over dx equals 2 space at space straight x equals straight pi over 2
86 Views

Advertisement
375. Differentiate (log x)cos x w.r.t. x.
89 Views

376. Differentiate (log x)sin x w.r.t.x.
81 Views

377. Differentiate xsin xw.r.t. (sin x)x
86 Views

378.  Differentiate sin x2w.r.t.x2.
83 Views

Advertisement
379. Differentiate cos(xx) w.r.t.x.
73 Views

Advertisement

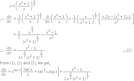
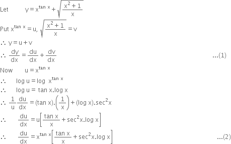
380. Differentiate space straight x to the power of tan space straight x end exponent plus square root of fraction numerator straight x squared plus 1 over denominator straight x end fraction end root straight w. straight r. straight t. straight x.


Let space space space space space space space space space space space straight y equals straight x to the power of tan space straight x end exponent plus square root of fraction numerator straight x squared plus 1 over denominator straight x end fraction end root
Put space straight x to the power of tan space straight x end exponent equals straight u comma space square root of fraction numerator straight x squared plus 1 over denominator straight x end fraction end root equals straight v
therefore space straight y equals straight u plus straight v
therefore space dy over dx equals du over dx plus dv over dx space space space space space space space space space space space space space space space space space space space space space space space space space space space space space space space space space space space space space space space space space space space space space space space space space space space space space space space space space space space space space space space space space space space space space space space space space space space space space space space space space space space space space space space space space space space space space space space space space space space space space space space... left parenthesis 1 right parenthesis
Now space space space space space space space space straight u equals straight x to the power of tan space straight x end exponent
therefore space space space space space space log space straight u equals log space space straight x to the power of tan space straight x end exponent
therefore space space space space space space log space straight u equals space tan space straight x. log space straight x
therefore space 1 over straight u du over dx equals left parenthesis tan space straight x right parenthesis. open parentheses 1 over straight x close parentheses plus left parenthesis log space straight x right parenthesis. sec squared straight x
therefore space space space space space space space du over dx equals straight u open square brackets fraction numerator tan space straight x over denominator straight x end fraction plus sec squared straight x. log space straight x close square brackets
therefore space space space space space space space du over dx equals straight x to the power of tan space straight x end exponent open square brackets fraction numerator tan space straight x over denominator straight x end fraction plus sec squared straight x. log space straight x close square brackets space space space space space space space space space space space space space space space space space space space space space space space space space space space space space space space space space space space space space space space space space space space space space space space space space space space space space space space space space space space space space space space space space space space space space... left parenthesis 2 right parenthesis
space space space space space space space space space space straight v equals open parentheses fraction numerator straight x squared plus 1 over denominator straight x end fraction close parentheses to the power of 1 half end exponent
therefore space dv over dx equals 1 half open parentheses fraction numerator straight x squared plus 1 over denominator straight x end fraction close parentheses to the power of 1 half end exponent. straight d over dx open parentheses fraction numerator straight x squared plus 1 over denominator straight x end fraction close parentheses equals 1 half open parentheses fraction numerator straight x over denominator straight x squared plus 1 end fraction close parentheses to the power of 1 half end exponent. open square brackets fraction numerator straight x.2 straight x minus left parenthesis straight x squared plus 1 right parenthesis.1 over denominator straight x squared end fraction close square brackets
space space space space space space space space space space space space space equals 1 half fraction numerator straight x to the power of begin display style 1 half end style end exponent over denominator left parenthesis straight x squared plus 1 right parenthesis to the power of begin display style 1 half end style end exponent end fraction cross times fraction numerator straight x squared minus 1 over denominator straight x squared end fraction
therefore space dv over dx equals fraction numerator straight x squared minus 1 over denominator 2 straight x to the power of begin display style 3 over 2 end style end exponent left parenthesis straight x squared plus 1 right parenthesis to the power of begin display style 1 half end style end exponent end fraction space space space space space space space space space space space space space space space space space space space space space space space space space space space space space space space space space space space space space space space space space space space space space space space space space space space space space space space space space space space space space space space space space space space space space space space space space space space space space space space space space space space space... left parenthesis 3 right parenthesis
From space left parenthesis 1 right parenthesis comma space left parenthesis 2 right parenthesis space and space left parenthesis 3 right parenthesis comma space we space get comma
dy over dx equals straight x to the power of tan space straight x end exponent open square brackets fraction numerator tan space straight x over denominator straight x end fraction plus sec squared straight x. log space straight x close square brackets plus fraction numerator straight x squared minus 1 over denominator 2 straight x to the power of begin display style 3 over 2 end style end exponent left parenthesis straight x squared plus 1 right parenthesis to the power of begin display style 1 half end style end exponent end fraction
77 Views

Advertisement
Advertisement