Differentiate xsin xw.r.t. (sin x)x from Mathematics Continuity

Previous Year Papers

Download Solved Question Papers Free for Offline Practice and view Solutions Online.

Test Series

Take Zigya Full and Sectional Test Series. Time it out for real assessment and get your results instantly.

Test Yourself

Practice and master your preparation for a specific topic or chapter. Check you scores at the end of the test.
Advertisement

 Multiple Choice QuestionsShort Answer Type

371. Differentiate space cos space straight x times cos space 2 straight x. cos 3 straight x space space straight w. straight r. straight t. straight x.
88 Views

372. Find space dy over dx comma space if space straight y equals left parenthesis sin space straight x right parenthesis to the power of sin space straight x to the power of sin space straight x... infinity end exponent end exponent
79 Views

373. If space straight y equals left parenthesis cos right parenthesis to the power of cos space straight x to the power of cos space straight x..... infinity end exponent end exponent comma space prove space that space dy over dx equals negative fraction numerator straight y squared tan space straight x over denominator 1 minus straight y space log space cos space straight x end fraction
83 Views

374. If space straight y equals left parenthesis tan space straight x right parenthesis to the power of tan space straight x to the power of tan space straight x.... infinity end exponent end exponent comma space prove space that space dy over dx equals 2 space at space straight x equals straight pi over 2
86 Views

Advertisement
375. Differentiate (log x)cos x w.r.t. x.
89 Views

376. Differentiate (log x)sin x w.r.t.x.
81 Views

Advertisement

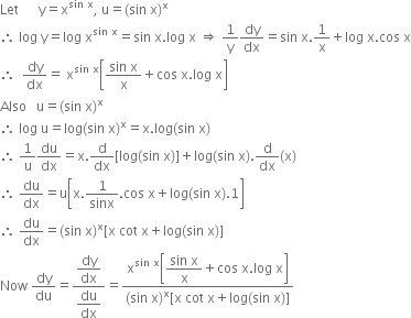
377. Differentiate xsin xw.r.t. (sin x)x


Let space space space space space space straight y equals straight x to the power of sin space straight x end exponent comma space straight u equals left parenthesis sin space straight x right parenthesis to the power of straight x
therefore space log space straight y equals log space straight x to the power of sin space straight x end exponent equals sin space straight x. log space straight x space rightwards double arrow space 1 over straight y dy over dx equals sin space straight x.1 over straight x plus log space straight x. cos space straight x
therefore space space dy over dx equals space straight x to the power of sin space straight x end exponent open square brackets fraction numerator sin space straight x over denominator straight x end fraction plus cos space straight x. log space straight x close square brackets
Also space space space straight u equals left parenthesis sin space straight x right parenthesis to the power of straight x
therefore space log space straight u equals log left parenthesis sin space straight x right parenthesis to the power of straight x equals straight x. log left parenthesis sin space straight x right parenthesis
therefore space 1 over straight u du over dx equals straight x. straight d over dx left square bracket log left parenthesis sin space straight x right parenthesis right square bracket plus log left parenthesis sin space straight x right parenthesis. straight d over dx left parenthesis straight x right parenthesis
therefore space du over dx equals straight u open square brackets straight x.1 over sinx. cos space straight x plus log left parenthesis sin space straight x right parenthesis.1 close square brackets
therefore space du over dx equals left parenthesis sin space straight x right parenthesis to the power of straight x left square bracket straight x space cot space straight x plus log left parenthesis sin space straight x right parenthesis right square bracket
Now space dy over du equals fraction numerator begin display style dy over dx end style over denominator begin display style du over dx end style end fraction equals fraction numerator straight x to the power of sin space straight x end exponent open square brackets begin display style fraction numerator sin space straight x over denominator straight x end fraction end style plus cos space straight x. log space straight x close square brackets over denominator left parenthesis sin space straight x right parenthesis to the power of straight x left square bracket straight x space cot space straight x plus log left parenthesis sin space straight x right parenthesis right square bracket end fraction
86 Views

Advertisement
378.  Differentiate sin x2w.r.t.x2.
83 Views

Advertisement
379. Differentiate cos(xx) w.r.t.x.
73 Views

380. Differentiate space straight x to the power of tan space straight x end exponent plus square root of fraction numerator straight x squared plus 1 over denominator straight x end fraction end root straight w. straight r. straight t. straight x.
77 Views

Advertisement