Differentiate the following functions w.r.t. x : from Mathemati

Previous Year Papers

Download Solved Question Papers Free for Offline Practice and view Solutions Online.

Test Series

Take Zigya Full and Sectional Test Series. Time it out for real assessment and get your results instantly.

Test Yourself

Practice and master your preparation for a specific topic or chapter. Check you scores at the end of the test.
Advertisement

 Multiple Choice QuestionsShort Answer Type

391. Differentiate the following functions w.r.t. x : left parenthesis straight x space cos space straight x right parenthesis to the power of straight x plus left parenthesis straight x space sin space straight x right parenthesis to the power of 1 over straight x end exponent
73 Views

Advertisement

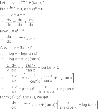
392. Differentiate the following functions w.r.t. x :straight e to the power of sin space straight x end exponent plus left parenthesis tan space straight x right parenthesis to the power of straight x


Let space space space space space space space space straight y equals straight e to the power of sin space straight x end exponent plus left parenthesis tan space straight x right parenthesis to the power of straight x
Put space straight e to the power of sin space straight x end exponent equals straight u comma space left parenthesis tan space straight x right parenthesis to the power of straight x equals straight u
therefore space space space space space space space straight y equals straight u plus straight v
therefore space dy over dx equals du over dx plus dv over dx
Now space straight u equals straight e to the power of sin space straight x end exponent
therefore space du over dx equals straight e to the power of sin space straight x end exponent. cos space straight x
Also space space space space space space space straight v equals left parenthesis tan space straight x right parenthesis to the power of straight x
therefore space space space space space log space straight v equals log left parenthesis tan space straight x right parenthesis to the power of straight x
therefore space space space space space log space straight v equals straight x. log left parenthesis tan space straight x right parenthesis
therefore space 1 over straight v dv over dx equals straight x. fraction numerator sec squared straight x over denominator tan space straight x end fraction plus log space tan space straight x.1
therefore space space space space space space space dv over dx equals straight v open square brackets straight x. fraction numerator 1 over denominator cos squared straight x end fraction. fraction numerator cos space straight x over denominator sin space straight x end fraction plus log space tan space straight x close square brackets
therefore space space space space space space space dv over dx equals left parenthesis tan space straight x right parenthesis to the power of straight x open square brackets fraction numerator straight x over denominator sin space xcos space straight x end fraction plus log space tan space straight x close square brackets
From space left parenthesis 1 right parenthesis comma space left parenthesis 2 right parenthesis space and space left parenthesis 3 right parenthesis comma space we space get comma
space space space space space space space space space space space dy over dx equals straight e to the power of sin space straight x end exponent. cos space straight x plus left parenthesis tan space straight x right parenthesis to the power of straight x open square brackets fraction numerator straight x over denominator sin space xcos space straight x end fraction plus log space tan space straight x close square brackets
75 Views

Advertisement
393. Differentiate the following functions w.r.t. x :left parenthesis sin space straight x right parenthesis to the power of tan space space straight x end exponent plus left parenthesis cos space straight x right parenthesis to the power of sec space straight x end exponent
72 Views

394. Differentiate the following functions w.r.t. x : straight x to the power of tan space straight x end exponent plus left parenthesis sin space straight x right parenthesis to the power of cos space straight x end exponent
74 Views

Advertisement
395. Differentiate the following functions w.r.t. x :straight x to the power of straight x to the power of straight x end exponent plus straight x to the power of sin space straight x end exponent
73 Views

396. If x=sec ө-cos ө, y=secnө-cosn ө then show that left parenthesis straight x squared plus 4 right parenthesis open parentheses dy over dx close parentheses squared equals straight n squared open parentheses straight y squared plus 4 close parentheses
74 Views

397. Differentiate sin-1(ex) w.r.t.x.
81 Views

398. Differentiate the following w.r.t.x:sin to the power of negative 1 end exponent left parenthesis straight x square root of straight x right parenthesis comma space 0 less or equal than straight x less or equal than 1
85 Views

Advertisement
399. Differentiate the following w.r.t.x: straight e to the power of sin to the power of negative 1 end exponent straight x end exponent
82 Views

400. Differentiate the following w.r.t.x:straight e to the power of cos minus 1 left parenthesis straight x plus 1 right parenthesis end exponent
88 Views

Advertisement