Differentiate the following w.r.t.x: from Mathematics Continuit

Previous Year Papers

Download Solved Question Papers Free for Offline Practice and view Solutions Online.

Test Series

Take Zigya Full and Sectional Test Series. Time it out for real assessment and get your results instantly.

Test Yourself

Practice and master your preparation for a specific topic or chapter. Check you scores at the end of the test.
Advertisement

 Multiple Choice QuestionsShort Answer Type

391. Differentiate the following functions w.r.t. x : left parenthesis straight x space cos space straight x right parenthesis to the power of straight x plus left parenthesis straight x space sin space straight x right parenthesis to the power of 1 over straight x end exponent
73 Views

392. Differentiate the following functions w.r.t. x :straight e to the power of sin space straight x end exponent plus left parenthesis tan space straight x right parenthesis to the power of straight x
75 Views

393. Differentiate the following functions w.r.t. x :left parenthesis sin space straight x right parenthesis to the power of tan space space straight x end exponent plus left parenthesis cos space straight x right parenthesis to the power of sec space straight x end exponent
72 Views

394. Differentiate the following functions w.r.t. x : straight x to the power of tan space straight x end exponent plus left parenthesis sin space straight x right parenthesis to the power of cos space straight x end exponent
74 Views

Advertisement
395. Differentiate the following functions w.r.t. x :straight x to the power of straight x to the power of straight x end exponent plus straight x to the power of sin space straight x end exponent
73 Views

396. If x=sec ө-cos ө, y=secnө-cosn ө then show that left parenthesis straight x squared plus 4 right parenthesis open parentheses dy over dx close parentheses squared equals straight n squared open parentheses straight y squared plus 4 close parentheses
74 Views

397. Differentiate sin-1(ex) w.r.t.x.
81 Views

Advertisement

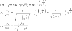
398. Differentiate the following w.r.t.x:sin to the power of negative 1 end exponent left parenthesis straight x square root of straight x right parenthesis comma space 0 less or equal than straight x less or equal than 1


Let space space space space space straight y equals sin to the power of negative 1 end exponent left parenthesis straight x square root of straight x right parenthesis equals sin to the power of negative 1 end exponent open parentheses straight x to the power of 3 over 2 end exponent close parentheses
therefore space dy over dx equals fraction numerator 1 over denominator square root of 1 minus open parentheses straight x to the power of 3 over 2 end exponent close parentheses squared end root end fraction. straight d over dx open parentheses straight x to the power of 3 over 2 end exponent close parentheses equals fraction numerator 1 over denominator square root of 1 minus straight x cubed end root end fraction.3 over 2 straight x to the power of 1 half end exponent
therefore space dy over dx equals fraction numerator 3 square root of straight x over denominator 2 square root of 1 minus straight x cubed end root end fraction
85 Views

Advertisement
Advertisement
399. Differentiate the following w.r.t.x: straight e to the power of sin to the power of negative 1 end exponent straight x end exponent
82 Views

400. Differentiate the following w.r.t.x:straight e to the power of cos minus 1 left parenthesis straight x plus 1 right parenthesis end exponent
88 Views

Advertisement