If x=sec ө-cos ө, y=secnө-cosn ө then show that  from Mat

Previous Year Papers

Download Solved Question Papers Free for Offline Practice and view Solutions Online.

Test Series

Take Zigya Full and Sectional Test Series. Time it out for real assessment and get your results instantly.

Test Yourself

Practice and master your preparation for a specific topic or chapter. Check you scores at the end of the test.
Advertisement

 Multiple Choice QuestionsShort Answer Type

391. Differentiate the following functions w.r.t. x : left parenthesis straight x space cos space straight x right parenthesis to the power of straight x plus left parenthesis straight x space sin space straight x right parenthesis to the power of 1 over straight x end exponent
73 Views

392. Differentiate the following functions w.r.t. x :straight e to the power of sin space straight x end exponent plus left parenthesis tan space straight x right parenthesis to the power of straight x
75 Views

393. Differentiate the following functions w.r.t. x :left parenthesis sin space straight x right parenthesis to the power of tan space space straight x end exponent plus left parenthesis cos space straight x right parenthesis to the power of sec space straight x end exponent
72 Views

394. Differentiate the following functions w.r.t. x : straight x to the power of tan space straight x end exponent plus left parenthesis sin space straight x right parenthesis to the power of cos space straight x end exponent
74 Views

Advertisement
395. Differentiate the following functions w.r.t. x :straight x to the power of straight x to the power of straight x end exponent plus straight x to the power of sin space straight x end exponent
73 Views

Advertisement

396. If x=sec ө-cos ө, y=secnө-cosn ө then show that left parenthesis straight x squared plus 4 right parenthesis open parentheses dy over dx close parentheses squared equals straight n squared open parentheses straight y squared plus 4 close parentheses


Here space straight x equals sec space straight theta minus cos space straight theta
therefore space dx over dθ equals sec space straight theta space tan space straight theta plus sin space straight theta
Also space space space straight y equals sec to the power of straight n space straight theta minus cos to the power of straight n space straight theta
therefore space dy over dθ equals straight n space sec to the power of straight n minus 1 end exponent straight theta. sec space straight theta space tan space straight theta minus straight n space cos to the power of straight n minus 1 end exponent straight theta. left parenthesis negative sin space straight theta right parenthesis
space space space space space space space space space space space space space equals straight n space sec to the power of straight n straight theta space tan space straight theta plus straight n space cos to the power of straight n minus 1 end exponent straight theta space sin space straight theta
Now space dy over dx equals fraction numerator begin display style dy over dθ end style over denominator begin display style dx over dθ end style end fraction equals fraction numerator straight n space sec to the power of straight n straight theta plus straight n space cos to the power of straight n minus 1 end exponent straight theta space sin space straight theta over denominator sec space straight theta space tanθ plus sin space straight theta end fraction
space space space space space space space space space space space space space space space space space equals fraction numerator straight n space sec to the power of straight n straight theta. begin display style fraction numerator sin space straight theta over denominator cos space straight theta end fraction end style plus straight n space cos to the power of straight n minus 1 end exponent straight theta space sin space straight theta over denominator sec space straight theta plus cos space straight theta end fraction equals fraction numerator straight n space sin space straight theta left parenthesis sec to the power of straight n space straight theta plus cos to the power of straight n space straight theta right parenthesis over denominator sin space straight theta left parenthesis sec space straight theta plus cos space straight theta right parenthesis end fraction
therefore space dy over dx equals fraction numerator straight n left parenthesis sec to the power of straight n space straight theta plus cos to the power of straight n space straight theta right parenthesis over denominator sec space straight theta plus cos space straight theta end fraction space space space space space space space space space space space space space space space space space space space space space space space space space space space space space space space space space space space space space space space space space space space space space space space space space space space space space space space space space space space space space space space space... left parenthesis 1 right parenthesis
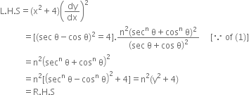
straight L. straight H. straight S equals left parenthesis straight x squared plus 4 right parenthesis open parentheses dy over dx close parentheses squared
space space space space space space space space space space space equals left square bracket left parenthesis sec space straight theta minus cos space straight theta right parenthesis squared equals 4 right square bracket. fraction numerator straight n squared left parenthesis sec to the power of straight n space straight theta plus cos to the power of straight n space straight theta right parenthesis squared over denominator open parentheses sec space straight theta plus cos space straight theta close parentheses squared end fraction space space space space space left square bracket because space of space left parenthesis 1 right parenthesis right square bracket
space space space space space space space space space space space equals straight n squared open parentheses sec to the power of straight n space straight theta plus cos to the power of straight n space straight theta close parentheses squared
space space space space space space space space space space space equals straight n squared left square bracket open parentheses sec to the power of straight n space straight theta minus cos to the power of straight n space straight theta close parentheses squared plus 4 right square bracket equals straight n squared left parenthesis straight y squared plus 4 right parenthesis
space space space space space space space space space space space equals straight R. straight H. straight S
74 Views

Advertisement
397. Differentiate sin-1(ex) w.r.t.x.
81 Views

398. Differentiate the following w.r.t.x:sin to the power of negative 1 end exponent left parenthesis straight x square root of straight x right parenthesis comma space 0 less or equal than straight x less or equal than 1
85 Views

Advertisement
399. Differentiate the following w.r.t.x: straight e to the power of sin to the power of negative 1 end exponent straight x end exponent
82 Views

400. Differentiate the following w.r.t.x:straight e to the power of cos minus 1 left parenthesis straight x plus 1 right parenthesis end exponent
88 Views

Advertisement