from Mathematics Continuity and Differentiability

Previous Year Papers

Download Solved Question Papers Free for Offline Practice and view Solutions Online.

Test Series

Take Zigya Full and Sectional Test Series. Time it out for real assessment and get your results instantly.

Test Yourself

Practice and master your preparation for a specific topic or chapter. Check you scores at the end of the test.
Advertisement

 Multiple Choice QuestionsShort Answer Type

Advertisement

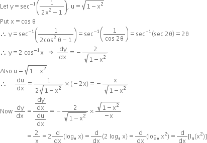
501. Prove space that space the space derivative space of space sec to the power of negative 1 end exponent open parentheses fraction numerator 1 over denominator 2 straight x squared minus 1 end fraction close parentheses comma space straight x greater than 0 space straight w. straight r. straight t. space square root of 1 minus straight x squared end root space is space equal space to space the space
derivative space straight l subscript straight n space left parenthesis straight x squared right parenthesis space with space respect space to space straight x comma space left square bracket straight l subscript straight n left parenthesis straight x squared right parenthesis equals space log to the power of straight e. left parenthesis straight a squared right parenthesis right square bracket.


Let space straight y equals sec to the power of negative 1 end exponent open parentheses fraction numerator 1 over denominator 2 straight x squared minus 1 end fraction close parentheses comma space straight u equals square root of 1 minus straight x squared end root
Put space straight x equals cos space straight theta
therefore space straight y equals sec to the power of negative 1 end exponent open parentheses fraction numerator 1 over denominator 2 cos squared space straight theta minus 1 end fraction close parentheses equals sec to the power of negative 1 end exponent open parentheses fraction numerator 1 over denominator cos space 2 straight theta end fraction close parentheses equals sec to the power of negative 1 end exponent open parentheses sec space 2 straight theta close parentheses equals 2 straight theta
therefore space straight y equals 2 space cos to the power of negative 1 end exponent straight x space space rightwards double arrow space dy over dx equals negative fraction numerator 2 over denominator square root of 1 minus straight x squared end root end fraction
Also space straight u equals square root of 1 minus straight x squared end root
therefore space space space space space du over dx equals fraction numerator 1 over denominator 2 square root of 1 minus straight x squared end root end fraction cross times left parenthesis negative 2 straight x right parenthesis equals negative fraction numerator straight x over denominator square root of 1 minus straight x squared end root end fraction
Now space dy over dx equals fraction numerator begin display style dy over dx end style over denominator begin display style du over dx end style end fraction equals negative fraction numerator 2 over denominator square root of 1 minus straight x squared end root end fraction cross times fraction numerator square root of 1 minus straight x squared end root over denominator negative straight x end fraction
space space space space space space space space space space space space space space space space space equals 2 over straight x equals 2 straight d over dx left parenthesis log subscript straight e space straight x right parenthesis equals straight d over dx left parenthesis 2 space log subscript straight e space straight x right parenthesis equals straight d over dx left parenthesis log subscript straight e space straight x squared right parenthesis equals straight d over dx left square bracket straight l subscript straight n left parenthesis straight x squared right parenthesis right square bracket
74 Views

Advertisement
502. Differentiate space tan to the power of negative 1 end exponent open parentheses fraction numerator straight x over denominator 1 plus square root of 1 minus straight x squared end root end fraction close parentheses space straight w. straight r. straight t. space sin open parentheses 2 space cot to the power of negative 1 end exponent space square root of fraction numerator 1 plus straight x over denominator 1 minus straight x end fraction end root close parentheses
77 Views

503. If space straight y equals tan to the power of negative 1 end exponent fraction numerator 4 straight x over denominator 1 plus 5 straight x squared end fraction plus tan to the power of negative 1 end exponent fraction numerator 2 plus 3 straight x over denominator 3 minus 2 straight x end fraction comma space prove space that space dy over dx equals fraction numerator 5 over denominator 1 plus 25 straight x squared end fraction.
82 Views

504. Given space that space straight y equals tan to the power of negative 1 end exponent open parentheses fraction numerator 1 minus straight x over denominator 1 plus straight x end fraction close parentheses plus tan to the power of negative 1 end exponent open parentheses fraction numerator straight x plus 2 over denominator 1 minus 2 straight x end fraction close parentheses comma space minus 1 less than straight x less than 1 half. space After space using space
the space property space of space inverse space trigonometric space function comma space show space that space dy over dx equals 0
88 Views

Advertisement
505. If space straight theta equals cos to the power of negative 1 end exponent open parentheses straight r over straight k close parentheses minus fraction numerator square root of straight k squared minus straight r squared end root over denominator straight r end fraction comma space find space dθ over dr
75 Views

506. Differentiate the following w.r.t.x: straight x space to the power of sin to the power of negative 1 end exponent straight x end exponent
88 Views

507. Differentiate space the space following space straight w. straight r. straight t. straight x colon space left parenthesis sin space straight x right parenthesis to the power of cos to the power of negative 1 end exponent straight x end exponent
87 Views

508. Differentiate the following w.r.t.x: straight x to the power of cos to the power of negative 1 end exponent straight x end exponent
90 Views

Advertisement
509. If space straight y equals tan to the power of negative 1 end exponent straight x over straight y comma space then space evaluate space dy over dx.
77 Views

510. If space left parenthesis tan to the power of negative 1 end exponent straight x right parenthesis plus straight y to the power of cot space straight x end exponent equals 1 comma space find space dy over dx.
74 Views

Advertisement