Differentiate the following w.r.t.x:  from Mathematics Continu

Previous Year Papers

Download Solved Question Papers Free for Offline Practice and view Solutions Online.

Test Series

Take Zigya Full and Sectional Test Series. Time it out for real assessment and get your results instantly.

Test Yourself

Practice and master your preparation for a specific topic or chapter. Check you scores at the end of the test.
Advertisement

 Multiple Choice QuestionsShort Answer Type

501. Prove space that space the space derivative space of space sec to the power of negative 1 end exponent open parentheses fraction numerator 1 over denominator 2 straight x squared minus 1 end fraction close parentheses comma space straight x greater than 0 space straight w. straight r. straight t. space square root of 1 minus straight x squared end root space is space equal space to space the space
derivative space straight l subscript straight n space left parenthesis straight x squared right parenthesis space with space respect space to space straight x comma space left square bracket straight l subscript straight n left parenthesis straight x squared right parenthesis equals space log to the power of straight e. left parenthesis straight a squared right parenthesis right square bracket.
74 Views

502. Differentiate space tan to the power of negative 1 end exponent open parentheses fraction numerator straight x over denominator 1 plus square root of 1 minus straight x squared end root end fraction close parentheses space straight w. straight r. straight t. space sin open parentheses 2 space cot to the power of negative 1 end exponent space square root of fraction numerator 1 plus straight x over denominator 1 minus straight x end fraction end root close parentheses
77 Views

503. If space straight y equals tan to the power of negative 1 end exponent fraction numerator 4 straight x over denominator 1 plus 5 straight x squared end fraction plus tan to the power of negative 1 end exponent fraction numerator 2 plus 3 straight x over denominator 3 minus 2 straight x end fraction comma space prove space that space dy over dx equals fraction numerator 5 over denominator 1 plus 25 straight x squared end fraction.
82 Views

504. Given space that space straight y equals tan to the power of negative 1 end exponent open parentheses fraction numerator 1 minus straight x over denominator 1 plus straight x end fraction close parentheses plus tan to the power of negative 1 end exponent open parentheses fraction numerator straight x plus 2 over denominator 1 minus 2 straight x end fraction close parentheses comma space minus 1 less than straight x less than 1 half. space After space using space
the space property space of space inverse space trigonometric space function comma space show space that space dy over dx equals 0
88 Views

Advertisement
505. If space straight theta equals cos to the power of negative 1 end exponent open parentheses straight r over straight k close parentheses minus fraction numerator square root of straight k squared minus straight r squared end root over denominator straight r end fraction comma space find space dθ over dr
75 Views

506. Differentiate the following w.r.t.x: straight x space to the power of sin to the power of negative 1 end exponent straight x end exponent
88 Views

507. Differentiate space the space following space straight w. straight r. straight t. straight x colon space left parenthesis sin space straight x right parenthesis to the power of cos to the power of negative 1 end exponent straight x end exponent
87 Views

Advertisement

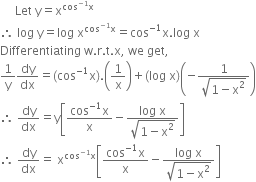
508. Differentiate the following w.r.t.x: straight x to the power of cos to the power of negative 1 end exponent straight x end exponent


space space space space space Let space straight y equals straight x to the power of cos to the power of negative 1 end exponent straight x end exponent
therefore space log space straight y equals log space straight x to the power of cos to the power of negative 1 end exponent straight x end exponent equals cos to the power of negative 1 end exponent straight x. log space straight x
Differentiating space straight w. straight r. straight t. straight x comma space we space get comma space
1 over straight y dy over dx equals left parenthesis cos to the power of negative 1 end exponent straight x right parenthesis. open parentheses 1 over straight x close parentheses plus left parenthesis log space straight x right parenthesis open parentheses negative fraction numerator 1 over denominator square root of 1 minus straight x squared end root end fraction close parentheses
therefore space dy over dx equals straight y open square brackets fraction numerator cos to the power of negative 1 end exponent straight x over denominator straight x end fraction minus fraction numerator log space straight x over denominator square root of 1 minus straight x squared end root end fraction close square brackets
therefore space dy over dx equals space straight x to the power of cos to the power of negative 1 end exponent straight x end exponent open square brackets fraction numerator cos to the power of negative 1 end exponent straight x over denominator straight x end fraction minus fraction numerator log space straight x over denominator square root of 1 minus straight x squared end root end fraction close square brackets
90 Views

Advertisement
Advertisement
509. If space straight y equals tan to the power of negative 1 end exponent straight x over straight y comma space then space evaluate space dy over dx.
77 Views

510. If space left parenthesis tan to the power of negative 1 end exponent straight x right parenthesis plus straight y to the power of cot space straight x end exponent equals 1 comma space find space dy over dx.
74 Views

Advertisement