from Mathematics Continuity and Differentiability

Previous Year Papers

Download Solved Question Papers Free for Offline Practice and view Solutions Online.

Test Series

Take Zigya Full and Sectional Test Series. Time it out for real assessment and get your results instantly.

Test Yourself

Practice and master your preparation for a specific topic or chapter. Check you scores at the end of the test.
Advertisement

 Multiple Choice QuestionsShort Answer Type

501. Prove space that space the space derivative space of space sec to the power of negative 1 end exponent open parentheses fraction numerator 1 over denominator 2 straight x squared minus 1 end fraction close parentheses comma space straight x greater than 0 space straight w. straight r. straight t. space square root of 1 minus straight x squared end root space is space equal space to space the space
derivative space straight l subscript straight n space left parenthesis straight x squared right parenthesis space with space respect space to space straight x comma space left square bracket straight l subscript straight n left parenthesis straight x squared right parenthesis equals space log to the power of straight e. left parenthesis straight a squared right parenthesis right square bracket.
74 Views

Advertisement

502. Differentiate space tan to the power of negative 1 end exponent open parentheses fraction numerator straight x over denominator 1 plus square root of 1 minus straight x squared end root end fraction close parentheses space straight w. straight r. straight t. space sin open parentheses 2 space cot to the power of negative 1 end exponent space square root of fraction numerator 1 plus straight x over denominator 1 minus straight x end fraction end root close parentheses


Let space straight y equals tan to the power of negative 1 end exponent open parentheses fraction numerator straight x over denominator 1 plus square root of 1 minus straight x squared end root end fraction close parentheses
Put space straight x equals sin space straight theta
therefore space straight y equals tan to the power of negative 1 end exponent open parentheses fraction numerator sin space straight theta over denominator 1 plus square root of 1 minus sin squared space straight theta end root end fraction close parentheses
space space space space space space space equals tan to the power of negative 1 end exponent open parentheses fraction numerator sin space straight theta over denominator 1 plus cos space straight theta end fraction close parentheses
space space space space space space space equals tan to the power of negative 1 end exponent open parentheses fraction numerator 2 space sin space begin display style straight theta over 2 end style cos begin display style fraction numerator space straight theta over denominator 2 end fraction end style over denominator 2 cos squared begin display style straight theta over 2 end style end fraction close parentheses
space space space space space space space equals tan to the power of negative 1 end exponent open parentheses tan space straight theta over 2 close parentheses
space space space space space space space equals straight theta over 2
therefore space straight y equals 1 half sin to the power of negative 1 end exponent straight x
therefore space dy over dx equals fraction numerator 1 over denominator 2 square root of 1 minus straight x squared end root end fraction
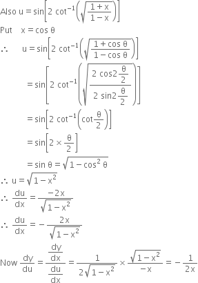
Also space straight u equals sin open square brackets 2 space cot to the power of negative 1 end exponent open parentheses square root of fraction numerator 1 plus straight x over denominator 1 minus straight x end fraction end root close parentheses close square brackets
Put space space space space straight x equals cos space straight theta
therefore space space space space space space straight u equals sin open square brackets 2 space cot to the power of negative 1 end exponent open parentheses square root of fraction numerator 1 plus cos space straight theta over denominator 1 minus cos space straight theta end fraction end root close parentheses close square brackets
space space space space space space space space space space space space equals sin open square brackets 2 space cot to the power of negative 1 end exponent open parentheses square root of fraction numerator 2 space cos 2 begin display style straight theta over 2 end style over denominator 2 space sin 2 begin display style straight theta over 2 end style end fraction end root close parentheses close square brackets
space space space space space space space space space space space space equals sin open square brackets 2 space cot to the power of negative 1 end exponent open parentheses cot straight theta over 2 close parentheses close square brackets
space space space space space space space space space space space space equals sin open square brackets 2 cross times straight theta over 2 close square brackets
space space space space space space space space space space space space equals sin space straight theta equals square root of 1 minus cos squared space straight theta end root
therefore space straight u equals square root of 1 minus straight x squared end root
therefore space du over dx equals fraction numerator negative 2 straight x over denominator square root of 1 minus straight x squared end root end fraction
therefore space du over dx equals negative fraction numerator 2 straight x over denominator square root of 1 minus straight x squared end root end fraction
Now space dy over du equals fraction numerator begin display style dy over dx end style over denominator begin display style du over dx end style end fraction equals fraction numerator 1 over denominator 2 square root of 1 minus straight x squared end root end fraction cross times fraction numerator square root of 1 minus straight x squared end root over denominator negative straight x end fraction equals negative fraction numerator 1 over denominator 2 straight x end fraction
77 Views

Advertisement
503. If space straight y equals tan to the power of negative 1 end exponent fraction numerator 4 straight x over denominator 1 plus 5 straight x squared end fraction plus tan to the power of negative 1 end exponent fraction numerator 2 plus 3 straight x over denominator 3 minus 2 straight x end fraction comma space prove space that space dy over dx equals fraction numerator 5 over denominator 1 plus 25 straight x squared end fraction.
82 Views

504. Given space that space straight y equals tan to the power of negative 1 end exponent open parentheses fraction numerator 1 minus straight x over denominator 1 plus straight x end fraction close parentheses plus tan to the power of negative 1 end exponent open parentheses fraction numerator straight x plus 2 over denominator 1 minus 2 straight x end fraction close parentheses comma space minus 1 less than straight x less than 1 half. space After space using space
the space property space of space inverse space trigonometric space function comma space show space that space dy over dx equals 0
88 Views

Advertisement
505. If space straight theta equals cos to the power of negative 1 end exponent open parentheses straight r over straight k close parentheses minus fraction numerator square root of straight k squared minus straight r squared end root over denominator straight r end fraction comma space find space dθ over dr
75 Views

506. Differentiate the following w.r.t.x: straight x space to the power of sin to the power of negative 1 end exponent straight x end exponent
88 Views

507. Differentiate space the space following space straight w. straight r. straight t. straight x colon space left parenthesis sin space straight x right parenthesis to the power of cos to the power of negative 1 end exponent straight x end exponent
87 Views

508. Differentiate the following w.r.t.x: straight x to the power of cos to the power of negative 1 end exponent straight x end exponent
90 Views

Advertisement
509. If space straight y equals tan to the power of negative 1 end exponent straight x over straight y comma space then space evaluate space dy over dx.
77 Views

510. If space left parenthesis tan to the power of negative 1 end exponent straight x right parenthesis plus straight y to the power of cot space straight x end exponent equals 1 comma space find space dy over dx.
74 Views

Advertisement