Find the derivative w.r.t.x of the function  from Mathematics

Previous Year Papers

Download Solved Question Papers Free for Offline Practice and view Solutions Online.

Test Series

Take Zigya Full and Sectional Test Series. Time it out for real assessment and get your results instantly.

Test Yourself

Practice and master your preparation for a specific topic or chapter. Check you scores at the end of the test.
Advertisement

 Multiple Choice QuestionsShort Answer Type

511. Find space dy over dx space when space straight y equals left parenthesis sin space straight x right parenthesis to the power of straight x plus sin to the power of negative 1 end exponent square root of straight x.
74 Views

512. If space straight y equals cos to the power of negative 1 end exponent open parentheses fraction numerator 3 plus 5 space cos space straight x over denominator 5 plus 3 space cos space straight x end fraction close parentheses comma space prove space that space cos space straight x equals fraction numerator 4 minus 5 straight y subscript 1 over denominator 3 straight y subscript 1 end fraction comma space where space straight y subscript 1 equals dy over dx
85 Views

513. Expressing space the space equation space in space terms space of space an space equation space square root of 1 minus straight x squared end root plus square root of 1 minus straight y squared end root equals straight a left parenthesis straight x minus straight y right parenthesis space in space term space oa space an space equation
involving space inverse space trigonometric space functions space by space straight a space suitable space substitution comma space prove space that
dy over dx equals fraction numerator square root of 1 minus straight y squared end root over denominator square root of 1 minus straight x squared end root end fraction.
72 Views

Advertisement

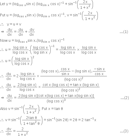
514. Find the derivative w.r.t.x of the function 
left parenthesis log subscript cos space straight x end subscript sin space straight x right parenthesis space left parenthesis log subscript sin space straight x end subscript space cos space straight x right parenthesis to the power of negative 1 end exponent plus sin to the power of negative 1 end exponent open parentheses fraction numerator 2 straight x over denominator 1 plus straight x squared end fraction close parentheses space at space straight x equals straight pi over 4


Let space straight y equals left parenthesis log subscript cos space straight x end subscript sin space straight x right parenthesis space left parenthesis log subscript sin space straight x end subscript space cos space straight x right parenthesis to the power of negative 1 end exponent plus sin to the power of negative 1 end exponent open parentheses fraction numerator 2 straight x over denominator 1 plus straight x squared end fraction close parentheses space
Put space straight u equals left parenthesis log subscript cos space straight x end subscript sin space straight x right parenthesis space left parenthesis log subscript sin space straight x end subscript space cos space straight x right parenthesis to the power of negative 1 end exponent comma space straight v equals sin to the power of negative 1 end exponent open parentheses fraction numerator 2 straight x over denominator 1 plus straight x squared end fraction close parentheses space
therefore space space space straight y equals straight u plus straight v
rightwards double arrow space dy over dx equals du over dx plus dv over dx space space space space space space space space space space space space space space space space space space space space space space space space space space space space space space space space space space space space space space space space space space space space space space space space space space space space space space space space space space space space space space space space space space space space space space space space space space space space space space space space space space space space space space space space space space space space space... left parenthesis 1 right parenthesis
Now space straight u equals log subscript cos space straight x end subscript sin space straight x. left parenthesis log subscript sin space straight x end subscript space cos space straight x right parenthesis to the power of negative 1 end exponent
therefore space straight u equals fraction numerator log space sin space straight x over denominator log space cos space straight x end fraction. open parentheses fraction numerator log space cos space straight x over denominator log space sin space straight x end fraction close parentheses to the power of negative 1 end exponent equals fraction numerator log space sin space straight x over denominator log space cos space straight x end fraction cross times fraction numerator log space sin space straight x over denominator log space cos space straight x end fraction
therefore space straight u equals open parentheses fraction numerator log space sin space straight x over denominator log space cos space straight x end fraction close parentheses squared
therefore space du over dx equals 2 fraction numerator log space sin space straight x over denominator log space cos space straight x end fraction cross times fraction numerator left parenthesis log space cos space straight x right parenthesis. begin display style fraction numerator cos space straight x over denominator sin space straight x end fraction end style minus left parenthesis log space sin space straight x right parenthesis. begin display style fraction numerator negative sin space straight x over denominator cos space straight x end fraction end style over denominator left parenthesis log space cos space straight x right parenthesis squared end fraction
therefore space du over dx equals fraction numerator 2 left parenthesis log space sin space straight x right parenthesis over denominator log space cos space straight x end fraction cross times fraction numerator cot space straight x space left parenthesis log space cos space straight x right parenthesis plus tan space straight x space left parenthesis log space sin space straight x right parenthesis over denominator left parenthesis log space cos space straight x right parenthesis squared end fraction
rightwards double arrow space du over dx equals fraction numerator 2 left parenthesis log space sin space straight x right parenthesis left square bracket cot space straight x left parenthesis log space cos space straight x right parenthesis plus tan space straight x left parenthesis log space sin space straight x right parenthesis right square bracket over denominator left parenthesis log space cos space straight x right parenthesis cubed end fraction space space space space space space space space space space space space space space space space space space space space space space space space space space space space... left parenthesis 2 right parenthesis
Also space straight v equals sin to the power of negative 1 end exponent open parentheses fraction numerator 2 straight x over denominator 1 plus straight x squared end fraction close parentheses semicolon space Put space straight x equals tan space straight theta
therefore space straight v equals sin to the power of negative 1 end exponent open parentheses fraction numerator 2 tan space straight theta over denominator 1 plus tan squared space straight theta end fraction close parentheses equals sin to the power of negative 1 end exponent left parenthesis sin space 2 straight theta right parenthesis equals 2 straight theta equals 2 space tan to the power of negative 1 end exponent straight x
therefore space dv over dx equals fraction numerator 2 over denominator 1 plus straight x squared end fraction space space space space space space space space space space space space space space space space space space space space space space space space space space space space space space space space space space space space space space space space space space space space space space space space space space space space space space space space space space space space space space space space space space space space space space space space space space space space space space space space space space space space space space space space space space space space space space space space space space space space... left parenthesis 3 right parenthesis
From (i), (2), (3), we get,
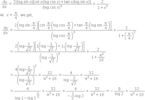
space dy over dx equals fraction numerator 2 left parenthesis log space sin space straight x right parenthesis left square bracket cot space straight x left parenthesis log space cos space straight x right parenthesis plus tan space straight x left parenthesis log space sin space straight x right parenthesis right square bracket over denominator left parenthesis log space cos space straight x right parenthesis cubed end fraction plus fraction numerator 2 over denominator 1 plus straight x squared end fraction
At space space space straight x equals straight pi over 4 comma space we space get comma
space space dy over dx equals fraction numerator 2 open parentheses log space sin space begin display style straight pi over 4 end style close parentheses open square brackets cot space begin display style straight pi over 4 end style open parentheses log space cos space begin display style straight pi over 4 end style close parentheses plus tan space begin display style straight pi over 4 end style open parentheses log space sin space begin display style straight pi over 4 end style close parentheses close square brackets over denominator open parentheses log space cos space begin display style straight pi over 4 end style close parentheses cubed end fraction plus fraction numerator 2 over denominator 1 plus open parentheses begin display style straight pi over 4 end style close parentheses squared end fraction
space space space space space space space space space space equals fraction numerator 2 open parentheses log begin display style fraction numerator 1 over denominator square root of 2 end fraction end style close parentheses open square brackets 1 open parentheses log space begin display style fraction numerator 1 over denominator square root of 2 end fraction end style close parentheses plus 1. open parentheses log space begin display style fraction numerator 1 over denominator square root of 2 end fraction end style close parentheses close square brackets over denominator open parentheses log space begin display style fraction numerator 1 over denominator square root of 2 end fraction end style close parentheses cubed end fraction plus fraction numerator 2 over denominator 1 plus begin display style straight pi squared over 16 end style end fraction
space space space space space space space space space space equals fraction numerator 4 open parentheses log begin display style fraction numerator 1 over denominator square root of 2 end fraction end style close parentheses squared over denominator open parentheses log begin display style fraction numerator 1 over denominator square root of 2 end fraction end style close parentheses end fraction plus fraction numerator 32 over denominator straight pi squared plus 16 end fraction equals fraction numerator 4 over denominator log space begin display style fraction numerator 1 over denominator square root of 2 end fraction end style end fraction plus fraction numerator 32 over denominator straight pi squared plus 16 end fraction
space space space space space space space space space space equals fraction numerator 4 over denominator log space 1 minus log space 2 to the power of begin display style 1 half end style end exponent end fraction plus fraction numerator 32 over denominator straight pi squared plus 16 end fraction equals fraction numerator 4 over denominator negative begin display style 1 half end style log space 2 end fraction plus fraction numerator 32 over denominator straight pi squared plus 16 end fraction equals negative fraction numerator 8 over denominator log space 2 end fraction plus fraction numerator 32 over denominator straight pi squared plus 16 end fraction
77 Views

Advertisement
Advertisement
515. Differentiate space
open parentheses log subscript cos space straight x end subscript space sin space straight x close parentheses open parentheses log subscript sin space straight x end subscript space cos space straight x close parentheses plus cos to the power of negative 1 end exponent open parentheses fraction numerator 1 minus straight x squared over denominator 1 plus straight x squared end fraction close parentheses space straight w. straight r. straight t. straight x space at space straight x equals straight pi over 4.
74 Views

516. Prove space that space straight d over dx open curly brackets fraction numerator 1 over denominator 4 square root of 2 end fraction log fraction numerator straight x squared plus straight x square root of 2 plus 1 over denominator straight x squared minus straight x square root of 2 plus 1 end fraction plus fraction numerator 1 over denominator 2 square root of 2 end fraction tan to the power of negative 1 end exponent fraction numerator straight x square root of 2 over denominator 1 minus straight x squared end fraction close curly brackets equals fraction numerator 1 over denominator 1 plus straight x to the power of 4 end fraction
73 Views

517. Find the second order derivatives of the following functions : x2 + 3x + 2
87 Views

518. Find the second order derivatives of the following functions : x20 
86 Views

Advertisement
519. Find the second order derivatives of the following functions :x cos x
97 Views

520. Find the second order derivatives of the following functions :log x 
87 Views

Advertisement