from Mathematics Continuity and Differentiability

Previous Year Papers

Download Solved Question Papers Free for Offline Practice and view Solutions Online.

Test Series

Take Zigya Full and Sectional Test Series. Time it out for real assessment and get your results instantly.

Test Yourself

Practice and master your preparation for a specific topic or chapter. Check you scores at the end of the test.
Advertisement

 Multiple Choice QuestionsShort Answer Type

511. Find space dy over dx space when space straight y equals left parenthesis sin space straight x right parenthesis to the power of straight x plus sin to the power of negative 1 end exponent square root of straight x.
74 Views

512. If space straight y equals cos to the power of negative 1 end exponent open parentheses fraction numerator 3 plus 5 space cos space straight x over denominator 5 plus 3 space cos space straight x end fraction close parentheses comma space prove space that space cos space straight x equals fraction numerator 4 minus 5 straight y subscript 1 over denominator 3 straight y subscript 1 end fraction comma space where space straight y subscript 1 equals dy over dx
85 Views

513. Expressing space the space equation space in space terms space of space an space equation space square root of 1 minus straight x squared end root plus square root of 1 minus straight y squared end root equals straight a left parenthesis straight x minus straight y right parenthesis space in space term space oa space an space equation
involving space inverse space trigonometric space functions space by space straight a space suitable space substitution comma space prove space that
dy over dx equals fraction numerator square root of 1 minus straight y squared end root over denominator square root of 1 minus straight x squared end root end fraction.
72 Views

514. Find the derivative w.r.t.x of the function 
left parenthesis log subscript cos space straight x end subscript sin space straight x right parenthesis space left parenthesis log subscript sin space straight x end subscript space cos space straight x right parenthesis to the power of negative 1 end exponent plus sin to the power of negative 1 end exponent open parentheses fraction numerator 2 straight x over denominator 1 plus straight x squared end fraction close parentheses space at space straight x equals straight pi over 4
77 Views

Advertisement
515. Differentiate space
open parentheses log subscript cos space straight x end subscript space sin space straight x close parentheses open parentheses log subscript sin space straight x end subscript space cos space straight x close parentheses plus cos to the power of negative 1 end exponent open parentheses fraction numerator 1 minus straight x squared over denominator 1 plus straight x squared end fraction close parentheses space straight w. straight r. straight t. straight x space at space straight x equals straight pi over 4.
74 Views

Advertisement

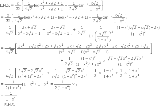
516. Prove space that space straight d over dx open curly brackets fraction numerator 1 over denominator 4 square root of 2 end fraction log fraction numerator straight x squared plus straight x square root of 2 plus 1 over denominator straight x squared minus straight x square root of 2 plus 1 end fraction plus fraction numerator 1 over denominator 2 square root of 2 end fraction tan to the power of negative 1 end exponent fraction numerator straight x square root of 2 over denominator 1 minus straight x squared end fraction close curly brackets equals fraction numerator 1 over denominator 1 plus straight x to the power of 4 end fraction


straight L. straight H. straight S. equals straight d over dx open curly brackets fraction numerator 1 over denominator 4 square root of 2 end fraction log fraction numerator straight x squared plus straight x square root of 2 plus 1 over denominator straight x squared minus straight x square root of 2 plus 1 end fraction plus fraction numerator 1 over denominator 2 square root of 2 end fraction tan to the power of negative 1 end exponent fraction numerator straight x square root of 2 over denominator 1 minus straight x squared end fraction close curly brackets
equals straight d over dx open curly brackets fraction numerator 1 over denominator 4 square root of 2 end fraction log left parenthesis straight x squared plus straight x square root of 2 plus 1 right parenthesis minus log left parenthesis straight x squared minus straight x square root of 2 plus 1 right parenthesis plus fraction numerator 1 over denominator 2 square root of 2 end fraction tan to the power of negative 1 end exponent fraction numerator straight x square root of 2 over denominator 1 minus straight x squared end fraction close curly brackets
equals fraction numerator 1 over denominator 4 square root of 2 end fraction open square brackets fraction numerator 2 straight x plus square root of 2 over denominator straight x squared plus straight x square root of 2 plus 1 end fraction minus fraction numerator 2 straight x minus square root of 2 over denominator straight x squared minus straight x square root of 2 plus 1 end fraction close square brackets plus fraction numerator 1 over denominator 2 square root of 2 end fraction fraction numerator 1 over denominator 1 plus open parentheses begin display style fraction numerator straight x square root of 2 over denominator 1 minus straight x squared end fraction end style close parentheses squared end fraction. fraction numerator left parenthesis 1 minus straight x squared right parenthesis. square root of 2 minus straight x square root of 2 left parenthesis negative 2 straight x right parenthesis over denominator open parentheses 1 minus straight x squared close parentheses squared end fraction
equals fraction numerator 1 over denominator 4 square root of 2 end fraction open square brackets fraction numerator 2 straight x cubed minus 2 square root of 2 straight x squared plus 2 straight x plus square root of 2 straight x squared minus 2 straight x plus square root of 2 minus 2 straight x cubed minus 2 square root of 2 straight x squared minus 2 straight x plus square root of 2 straight x squared plus 2 straight x plus square root of 2 over denominator left parenthesis straight x squared plus straight x square root of 2 plus 1 right parenthesis left parenthesis straight x squared minus straight x square root of 2 plus 1 right parenthesis end fraction close square brackets
space space space space space space space space space space space space space space space space space space space space space space space space space space space space space space space space space space space space space space space space space space space space space space space space space space space space space space space space space space space space space space space space space plus fraction numerator 1 over denominator 2 square root of 2 end fraction fraction numerator left parenthesis 1 minus straight x squared right parenthesis squared over denominator left parenthesis 1 minus straight x squared right parenthesis squared plus 2 straight x squared end fraction cross times fraction numerator square root of 2 minus square root of 2 straight x squared plus 2 square root of 2 straight x squared over denominator left parenthesis 1 minus straight x squared right parenthesis squared end fraction
equals fraction numerator 1 over denominator 4 square root of 2 end fraction open square brackets fraction numerator 2 square root of 2 minus 2 square root of 2 straight x squared over denominator left parenthesis straight x squared plus 1 right parenthesis squared minus 2 straight x squared end fraction close square brackets plus fraction numerator 1 over denominator 2 square root of 2 end fraction fraction numerator square root of 2 plus square root of 2 straight x squared over denominator left parenthesis 1 minus straight x squared right parenthesis squared plus 2 straight x squared end fraction equals 1 half cross times fraction numerator 1 minus straight x squared over denominator 1 plus straight x to the power of 4 end fraction plus 1 half cross times fraction numerator 1 plus straight x squared over denominator 1 plus straight x to the power of 4 end fraction
equals fraction numerator 1 over denominator 2 left parenthesis 1 plus straight x to the power of 4 right parenthesis end fraction left square bracket 1 minus straight x squared plus 1 plus straight x squared right square bracket equals fraction numerator 1 over denominator 2 left parenthesis 1 plus straight x to the power of 4 right parenthesis end fraction cross times 2
equals fraction numerator 1 over denominator 1 plus straight x to the power of 4 end fraction
equals straight R. straight H. straight S.
73 Views

Advertisement
517. Find the second order derivatives of the following functions : x2 + 3x + 2
87 Views

518. Find the second order derivatives of the following functions : x20 
86 Views

Advertisement
519. Find the second order derivatives of the following functions :x cos x
97 Views

520. Find the second order derivatives of the following functions :log x 
87 Views

Advertisement