from Mathematics Continuity and Differentiability

Previous Year Papers

Download Solved Question Papers Free for Offline Practice and view Solutions Online.

Test Series

Take Zigya Full and Sectional Test Series. Time it out for real assessment and get your results instantly.

Test Yourself

Practice and master your preparation for a specific topic or chapter. Check you scores at the end of the test.
Advertisement

 Multiple Choice QuestionsShort Answer Type

511. Find space dy over dx space when space straight y equals left parenthesis sin space straight x right parenthesis to the power of straight x plus sin to the power of negative 1 end exponent square root of straight x.
74 Views

512. If space straight y equals cos to the power of negative 1 end exponent open parentheses fraction numerator 3 plus 5 space cos space straight x over denominator 5 plus 3 space cos space straight x end fraction close parentheses comma space prove space that space cos space straight x equals fraction numerator 4 minus 5 straight y subscript 1 over denominator 3 straight y subscript 1 end fraction comma space where space straight y subscript 1 equals dy over dx
85 Views

513. Expressing space the space equation space in space terms space of space an space equation space square root of 1 minus straight x squared end root plus square root of 1 minus straight y squared end root equals straight a left parenthesis straight x minus straight y right parenthesis space in space term space oa space an space equation
involving space inverse space trigonometric space functions space by space straight a space suitable space substitution comma space prove space that
dy over dx equals fraction numerator square root of 1 minus straight y squared end root over denominator square root of 1 minus straight x squared end root end fraction.
72 Views

514. Find the derivative w.r.t.x of the function 
left parenthesis log subscript cos space straight x end subscript sin space straight x right parenthesis space left parenthesis log subscript sin space straight x end subscript space cos space straight x right parenthesis to the power of negative 1 end exponent plus sin to the power of negative 1 end exponent open parentheses fraction numerator 2 straight x over denominator 1 plus straight x squared end fraction close parentheses space at space straight x equals straight pi over 4
77 Views

Advertisement
Advertisement

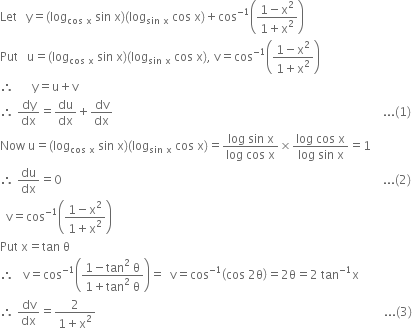
515. Differentiate space
open parentheses log subscript cos space straight x end subscript space sin space straight x close parentheses open parentheses log subscript sin space straight x end subscript space cos space straight x close parentheses plus cos to the power of negative 1 end exponent open parentheses fraction numerator 1 minus straight x squared over denominator 1 plus straight x squared end fraction close parentheses space straight w. straight r. straight t. straight x space at space straight x equals straight pi over 4.


Let space space space straight y equals open parentheses log subscript cos space straight x end subscript space sin space straight x close parentheses open parentheses log subscript sin space straight x end subscript space cos space straight x close parentheses plus cos to the power of negative 1 end exponent open parentheses fraction numerator 1 minus straight x squared over denominator 1 plus straight x squared end fraction close parentheses
Put space space space straight u equals open parentheses log subscript cos space straight x end subscript space sin space straight x close parentheses open parentheses log subscript sin space straight x end subscript space cos space straight x close parentheses comma space straight v equals cos to the power of negative 1 end exponent open parentheses fraction numerator 1 minus straight x squared over denominator 1 plus straight x squared end fraction close parentheses
therefore space space space space space space straight y equals straight u plus straight v
therefore space dy over dx equals du over dx plus dv over dx space space space space space space space space space space space space space space space space space space space space space space space space space space space space space space space space space space space space space space space space space space space space space space space space space space space space space space space space space space space space space space space space space space space space space space space space space space space space space space space space space space space space space space space space space space... left parenthesis 1 right parenthesis
Now space straight u equals open parentheses log subscript cos space straight x end subscript space sin space straight x close parentheses open parentheses log subscript sin space straight x end subscript space cos space straight x close parentheses equals fraction numerator log space sin space straight x over denominator log space cos space straight x end fraction cross times fraction numerator log space cos space straight x over denominator log space sin space straight x end fraction equals 1
therefore space du over dx equals 0 space space space space space space space space space space space space space space space space space space space space space space space space space space space space space space space space space space space space space space space space space space space space space space space space space space space space space space space space space space space space space space space space space space space space space space space space space space space space space space space space space space space space space space space space space space space space space space space space space space space space space space space space space space space... left parenthesis 2 right parenthesis
space space straight v equals cos to the power of negative 1 end exponent open parentheses fraction numerator 1 minus straight x squared over denominator 1 plus straight x squared end fraction close parentheses
Put space straight x equals tan space straight theta
therefore space space space straight v equals cos to the power of negative 1 end exponent open parentheses fraction numerator 1 minus tan squared space straight theta over denominator 1 plus tan squared space straight theta end fraction close parentheses equals space space straight v equals cos to the power of negative 1 end exponent open parentheses cos space 2 straight theta close parentheses equals 2 straight theta equals 2 space tan to the power of negative 1 end exponent straight x
therefore space dv over dx equals fraction numerator 2 over denominator 1 plus straight x squared end fraction space space space space space space space space space space space space space space space space space space space space space space space space space space space space space space space space space space space space space space space space space space space space space space space space space space space space space space space space space space space space space space space space space space space space space space space space space space space space space space space space space space space space space space space space space space space space space space space space... left parenthesis 3 right parenthesis
From (1), (2), (3), we get,
space space space space space space dy over dx equals 0 plus fraction numerator 2 over denominator 1 plus straight x squared end fraction
At space straight x equals straight pi over 4 comma space dy over dx equals fraction numerator 2 over denominator 1 plus open parentheses begin display style straight pi over 4 end style close parentheses squared end fraction equals fraction numerator 2 over denominator 1 plus begin display style straight pi squared over 16 end style end fraction equals fraction numerator 32 over denominator straight pi squared plus 16 end fraction
74 Views

Advertisement
516. Prove space that space straight d over dx open curly brackets fraction numerator 1 over denominator 4 square root of 2 end fraction log fraction numerator straight x squared plus straight x square root of 2 plus 1 over denominator straight x squared minus straight x square root of 2 plus 1 end fraction plus fraction numerator 1 over denominator 2 square root of 2 end fraction tan to the power of negative 1 end exponent fraction numerator straight x square root of 2 over denominator 1 minus straight x squared end fraction close curly brackets equals fraction numerator 1 over denominator 1 plus straight x to the power of 4 end fraction
73 Views

517. Find the second order derivatives of the following functions : x2 + 3x + 2
87 Views

518. Find the second order derivatives of the following functions : x20 
86 Views

Advertisement
519. Find the second order derivatives of the following functions :x cos x
97 Views

520. Find the second order derivatives of the following functions :log x 
87 Views

Advertisement