Find the second order derivatives of the following functions : 

Previous Year Papers

Download Solved Question Papers Free for Offline Practice and view Solutions Online.

Test Series

Take Zigya Full and Sectional Test Series. Time it out for real assessment and get your results instantly.

Test Yourself

Practice and master your preparation for a specific topic or chapter. Check you scores at the end of the test.
Advertisement

 Multiple Choice QuestionsShort Answer Type

521.  Find the second order derivatives of the following functions :x3 log x
89 Views

522. Find the second order derivatives of the following functions : ex sin 5x
84 Views

523. Find the second order derivatives of the following functions : e6 x cos 3x
89 Views

524. Find the second order derivatives of the following functions : tan-1 x 
91 Views

Advertisement
Advertisement

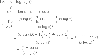
525. Find the second order derivatives of the following functions : log (log x)


Let space space space space space space straight y equals log left parenthesis log space straight x right parenthesis
therefore space space dy over dx equals fraction numerator 1 over denominator log space straight x end fraction.1 over straight x equals fraction numerator 1 over denominator straight x space log space straight x end fraction
therefore space fraction numerator straight d squared straight y over denominator dx squared end fraction equals fraction numerator left parenthesis straight x space log space straight x right parenthesis. begin display style straight d over dx end style left parenthesis 1 right parenthesis minus 1. begin display style straight d over dx end style left parenthesis straight x space log space straight x right parenthesis over denominator left parenthesis straight x space log space straight x right parenthesis squared end fraction
space space space space space space space space space space space space space space equals fraction numerator left parenthesis straight x space log space straight x right parenthesis.0 minus 1. open parentheses straight x. begin display style 1 over straight x end style plus log space straight x.1 close parentheses over denominator left parenthesis straight x space log space straight x right parenthesis squared end fraction equals fraction numerator 0 minus left parenthesis 1 plus log space straight x right parenthesis over denominator left parenthesis straight x space log space straight x right parenthesis squared end fraction
space space space space space space space space space space space space space space equals negative fraction numerator left parenthesis 1 plus log space straight x right parenthesis over denominator left parenthesis straight x space log space straight x right parenthesis squared end fraction
88 Views

Advertisement
526. Find the second order derivatives of the following functions : sin (log x)
81 Views

527. If space straight x equals square root of straight a to the power of sin to the power of negative 1 end exponent straight t end exponent end root comma space straight y equals square root of straight a to the power of cos to the power of negative 1 end exponent straight t end exponent end root comma space show space that
dy over dx equals negative straight y over straight x.
73 Views

528. Find space fraction numerator straight d cubed straight y over denominator dx cubed end fraction space when space straight y equals fraction numerator log space straight x over denominator straight x end fraction.
85 Views

Advertisement
529. Find space fraction numerator straight d squared straight y over denominator dx squared end fraction comma space if space space straight y equals straight x cubed plus tan space straight x
92 Views

530. <pre>uncaught exception: <b>Http Error #502</b><br /><br />in file: /home/config_admin/public/felixventures.in/public/application/css/plugins/tiny_mce_wiris/integration/lib/com/wiris/plugin/impl/HttpImpl.class.php line 61<br />#0 [internal function]: com_wiris_plugin_impl_HttpImpl_0(Object(com_wiris_plugin_impl_HttpImpl), NULL, 'http://www.wiri...', 'Http Error #502')
#1 /home/config_admin/public/felixventures.in/public/application/css/plugins/tiny_mce_wiris/integration/lib/php/Boot.class.php(769): call_user_func_array('com_wiris_plugi...', Array)
#2 [internal function]: _hx_lambda->execute('Http Error #502')
#3 /home/config_admin/public/felixventures.in/public/application/css/plugins/tiny_mce_wiris/integration/lib/haxe/Http.class.php(532): call_user_func_array(Array, Array)
#4 [internal function]: haxe_Http_5(true, Object(com_wiris_plugin_impl_HttpImpl), Object(com_wiris_plugin_impl_HttpImpl), Array, Object(haxe_io_BytesOutput), true, 'Http Error #502')
#5 /home/config_admin/public/felixventures.in/public/application/css/plugins/tiny_mce_wiris/integration/lib/php/Boot.class.php(769): call_user_func_array('haxe_Http_5', Array)
#6 [internal function]: _hx_lambda->execute('Http Error #502')
#7 /home/config_admin/public/felixventures.in/public/application/css/plugins/tiny_mce_wiris/integration/lib/com/wiris/plugin/impl/HttpImpl.class.php(27): call_user_func_array(Array, Array)
#8 /home/config_admin/public/felixventures.in/public/application/css/plugins/tiny_mce_wiris/integration/lib/haxe/Http.class.php(444): com_wiris_plugin_impl_HttpImpl->onError('Http Error #502')
#9 /home/config_admin/public/felixventures.in/public/application/css/plugins/tiny_mce_wiris/integration/lib/haxe/Http.class.php(458): haxe_Http->customRequest(true, Object(haxe_io_BytesOutput), NULL, NULL)
#10 /home/config_admin/public/felixventures.in/public/application/css/plugins/tiny_mce_wiris/integration/lib/com/wiris/plugin/impl/HttpImpl.class.php(40): haxe_Http->request(true)
#11 /home/config_admin/public/felixventures.in/public/application/css/plugins/tiny_mce_wiris/integration/lib/com/wiris/plugin/impl/TextServiceImpl.class.php(80): com_wiris_plugin_impl_HttpImpl->request(true)
#12 /home/config_admin/public/felixventures.in/public/application/css/plugins/tiny_mce_wiris/integration/service.php(19): com_wiris_plugin_impl_TextServiceImpl->service('mathml2accessib...', Array)
#13 {main}</pre>
88 Views

Advertisement