from Mathematics Continuity and Differentiability

Previous Year Papers

Download Solved Question Papers Free for Offline Practice and view Solutions Online.

Test Series

Take Zigya Full and Sectional Test Series. Time it out for real assessment and get your results instantly.

Test Yourself

Practice and master your preparation for a specific topic or chapter. Check you scores at the end of the test.
Advertisement

 Multiple Choice QuestionsShort Answer Type

521.  Find the second order derivatives of the following functions :x3 log x
89 Views

522. Find the second order derivatives of the following functions : ex sin 5x
84 Views

523. Find the second order derivatives of the following functions : e6 x cos 3x
89 Views

524. Find the second order derivatives of the following functions : tan-1 x 
91 Views

Advertisement
525. Find the second order derivatives of the following functions : log (log x)
88 Views

526. Find the second order derivatives of the following functions : sin (log x)
81 Views

Advertisement

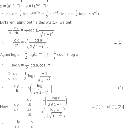
527. If space straight x equals square root of straight a to the power of sin to the power of negative 1 end exponent straight t end exponent end root comma space straight y equals square root of straight a to the power of cos to the power of negative 1 end exponent straight t end exponent end root comma space show space that
dy over dx equals negative straight y over straight x.


straight x equals open parentheses straight a to the power of sin to the power of negative 1 end exponent straight t end exponent close parentheses to the power of 1 half end exponent comma space straight y equals open parentheses straight a to the power of cos to the power of negative 1 end exponent straight t end exponent close parentheses to the power of 1 half end exponent
therefore space log space straight x equals 1 half log space straight a to the power of sin to the power of negative 1 end exponent straight t end exponent equals 1 half sin to the power of negative 1 end exponent straight t. log space straight a equals 1 half loga space. sin to the power of negative 1 end exponent straight t
Differentiating space both space sides space straight w. straight r. straight t. straight x comma space we space get comma
space space space space space space space space 1 over straight x dx over dt equals 1 half log space straight a. fraction numerator 1 over denominator square root of 1 minus straight t squared end root end fraction
therefore space space space space space space space space space dx over dt equals straight x open parentheses fraction numerator log space straight a over denominator 2 square root of 1 minus straight t squared end root end fraction close parentheses space space space space space space space space space space space space space space space space space space space space space space space space space space space space space space space space space space space space space space space space space space space space space space space space space space space space space space space space space space space space space space space space space space space space space... left parenthesis 1 right parenthesis
Again space log space straight y equals 1 half log open parentheses straight a to the power of cos to the power of negative 1 end exponent straight t end exponent close parentheses equals 1 half cos to the power of negative 1 end exponent straight t. log space straight a
therefore space space space space space space space space log space straight y equals 1 half log space straight a. cos to the power of negative 1 end exponent straight t
space space space space space space space 1 over straight y dy over dt equals 1 half log space straight a fraction numerator negative 1 over denominator square root of 1 minus straight t squared end root end fraction
therefore space space space space space space space space space dy over dt equals negative straight y open parentheses fraction numerator log space straight a over denominator 2 square root of 1 minus straight t squared end root end fraction close parentheses space space space space space space space space space space space space space space space space space space space space space space space space space space space space space space space space space space space space space space space space space space space space space space space space space space space space space space space space space space space space space space space space space space... left parenthesis 2 right parenthesis
Now space space space space space dy over dx equals fraction numerator begin display style dy over dt end style over denominator begin display style dx over dt end style end fraction equals fraction numerator negative straight y open parentheses begin display style fraction numerator log space straight a over denominator 2 square root of 1 minus straight t squared end root end fraction end style close parentheses over denominator straight x open parentheses begin display style fraction numerator log space straight a over denominator 2 square root of 1 minus straight t squared end root end fraction end style close parentheses end fraction space space space space space space space space space space space space space space space space space space space space space space space space space... left parenthesis 1 right parenthesis left square bracket because space of space left parenthesis 1 right parenthesis comma left parenthesis 2 right parenthesis right square bracket
therefore space space space space space space space space space space dy over dx equals negative straight y over straight x
73 Views

Advertisement
528. Find space fraction numerator straight d cubed straight y over denominator dx cubed end fraction space when space straight y equals fraction numerator log space straight x over denominator straight x end fraction.
85 Views

Advertisement
529. Find space fraction numerator straight d squared straight y over denominator dx squared end fraction comma space if space space straight y equals straight x cubed plus tan space straight x
92 Views

530. <pre>uncaught exception: <b>Http Error #502</b><br /><br />in file: /home/config_admin/public/felixventures.in/public/application/css/plugins/tiny_mce_wiris/integration/lib/com/wiris/plugin/impl/HttpImpl.class.php line 61<br />#0 [internal function]: com_wiris_plugin_impl_HttpImpl_0(Object(com_wiris_plugin_impl_HttpImpl), NULL, 'http://www.wiri...', 'Http Error #502')
#1 /home/config_admin/public/felixventures.in/public/application/css/plugins/tiny_mce_wiris/integration/lib/php/Boot.class.php(769): call_user_func_array('com_wiris_plugi...', Array)
#2 [internal function]: _hx_lambda->execute('Http Error #502')
#3 /home/config_admin/public/felixventures.in/public/application/css/plugins/tiny_mce_wiris/integration/lib/haxe/Http.class.php(532): call_user_func_array(Array, Array)
#4 [internal function]: haxe_Http_5(true, Object(com_wiris_plugin_impl_HttpImpl), Object(com_wiris_plugin_impl_HttpImpl), Array, Object(haxe_io_BytesOutput), true, 'Http Error #502')
#5 /home/config_admin/public/felixventures.in/public/application/css/plugins/tiny_mce_wiris/integration/lib/php/Boot.class.php(769): call_user_func_array('haxe_Http_5', Array)
#6 [internal function]: _hx_lambda->execute('Http Error #502')
#7 /home/config_admin/public/felixventures.in/public/application/css/plugins/tiny_mce_wiris/integration/lib/com/wiris/plugin/impl/HttpImpl.class.php(27): call_user_func_array(Array, Array)
#8 /home/config_admin/public/felixventures.in/public/application/css/plugins/tiny_mce_wiris/integration/lib/haxe/Http.class.php(444): com_wiris_plugin_impl_HttpImpl->onError('Http Error #502')
#9 /home/config_admin/public/felixventures.in/public/application/css/plugins/tiny_mce_wiris/integration/lib/haxe/Http.class.php(458): haxe_Http->customRequest(true, Object(haxe_io_BytesOutput), NULL, NULL)
#10 /home/config_admin/public/felixventures.in/public/application/css/plugins/tiny_mce_wiris/integration/lib/com/wiris/plugin/impl/HttpImpl.class.php(40): haxe_Http->request(true)
#11 /home/config_admin/public/felixventures.in/public/application/css/plugins/tiny_mce_wiris/integration/lib/com/wiris/plugin/impl/TextServiceImpl.class.php(80): com_wiris_plugin_impl_HttpImpl->request(true)
#12 /home/config_admin/public/felixventures.in/public/application/css/plugins/tiny_mce_wiris/integration/service.php(19): com_wiris_plugin_impl_TextServiceImpl->service('mathml2accessib...', Array)
#13 {main}</pre>
88 Views

Advertisement