from Mathematics Continuity and Differentiability

Previous Year Papers

Download Solved Question Papers Free for Offline Practice and view Solutions Online.

Test Series

Take Zigya Full and Sectional Test Series. Time it out for real assessment and get your results instantly.

Test Yourself

Practice and master your preparation for a specific topic or chapter. Check you scores at the end of the test.
Advertisement

 Multiple Choice QuestionsShort Answer Type

521.  Find the second order derivatives of the following functions :x3 log x
89 Views

522. Find the second order derivatives of the following functions : ex sin 5x
84 Views

523. Find the second order derivatives of the following functions : e6 x cos 3x
89 Views

524. Find the second order derivatives of the following functions : tan-1 x 
91 Views

Advertisement
525. Find the second order derivatives of the following functions : log (log x)
88 Views

526. Find the second order derivatives of the following functions : sin (log x)
81 Views

527. If space straight x equals square root of straight a to the power of sin to the power of negative 1 end exponent straight t end exponent end root comma space straight y equals square root of straight a to the power of cos to the power of negative 1 end exponent straight t end exponent end root comma space show space that
dy over dx equals negative straight y over straight x.
73 Views

528. Find space fraction numerator straight d cubed straight y over denominator dx cubed end fraction space when space straight y equals fraction numerator log space straight x over denominator straight x end fraction.
85 Views

Advertisement
529. Find space fraction numerator straight d squared straight y over denominator dx squared end fraction comma space if space space straight y equals straight x cubed plus tan space straight x
92 Views

Advertisement

530. <pre>uncaught exception: <b>Http Error #502</b><br /><br />in file: /home/config_admin/public/felixventures.in/public/application/css/plugins/tiny_mce_wiris/integration/lib/com/wiris/plugin/impl/HttpImpl.class.php line 61<br />#0 [internal function]: com_wiris_plugin_impl_HttpImpl_0(Object(com_wiris_plugin_impl_HttpImpl), NULL, 'http://www.wiri...', 'Http Error #502')
#1 /home/config_admin/public/felixventures.in/public/application/css/plugins/tiny_mce_wiris/integration/lib/php/Boot.class.php(769): call_user_func_array('com_wiris_plugi...', Array)
#2 [internal function]: _hx_lambda->execute('Http Error #502')
#3 /home/config_admin/public/felixventures.in/public/application/css/plugins/tiny_mce_wiris/integration/lib/haxe/Http.class.php(532): call_user_func_array(Array, Array)
#4 [internal function]: haxe_Http_5(true, Object(com_wiris_plugin_impl_HttpImpl), Object(com_wiris_plugin_impl_HttpImpl), Array, Object(haxe_io_BytesOutput), true, 'Http Error #502')
#5 /home/config_admin/public/felixventures.in/public/application/css/plugins/tiny_mce_wiris/integration/lib/php/Boot.class.php(769): call_user_func_array('haxe_Http_5', Array)
#6 [internal function]: _hx_lambda->execute('Http Error #502')
#7 /home/config_admin/public/felixventures.in/public/application/css/plugins/tiny_mce_wiris/integration/lib/com/wiris/plugin/impl/HttpImpl.class.php(27): call_user_func_array(Array, Array)
#8 /home/config_admin/public/felixventures.in/public/application/css/plugins/tiny_mce_wiris/integration/lib/haxe/Http.class.php(444): com_wiris_plugin_impl_HttpImpl->onError('Http Error #502')
#9 /home/config_admin/public/felixventures.in/public/application/css/plugins/tiny_mce_wiris/integration/lib/haxe/Http.class.php(458): haxe_Http->customRequest(true, Object(haxe_io_BytesOutput), NULL, NULL)
#10 /home/config_admin/public/felixventures.in/public/application/css/plugins/tiny_mce_wiris/integration/lib/com/wiris/plugin/impl/HttpImpl.class.php(40): haxe_Http->request(true)
#11 /home/config_admin/public/felixventures.in/public/application/css/plugins/tiny_mce_wiris/integration/lib/com/wiris/plugin/impl/TextServiceImpl.class.php(80): com_wiris_plugin_impl_HttpImpl->request(true)
#12 /home/config_admin/public/felixventures.in/public/application/css/plugins/tiny_mce_wiris/integration/service.php(19): com_wiris_plugin_impl_TextServiceImpl->service('mathml2accessib...', Array)
#13 {main}</pre>


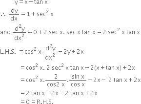
space space space space space space space space space space straight y equals straight x plus tan space straight x
therefore space dy over dx equals 1 plus sec squared space straight x
and space fraction numerator straight d squared straight y over denominator dx squared end fraction equals 0 plus 2 space sec space straight x. space sec space straight x space tan space straight x equals 2 space sec squared space straight x space tan space straight x
straight L. straight H. straight S. space equals cos squared space straight x space fraction numerator straight d squared straight y over denominator dx squared end fraction minus 2 straight y plus 2 straight x
space space space space space space space space space space space space space equals cos squared space straight x. space 2 space sec squared space straight x space tan space straight x minus 2 left parenthesis straight x plus tan space straight x right parenthesis plus 2 straight x
space space space space space space space space space space space space space equals cos squared space straight x. fraction numerator 2 over denominator cos 2 space straight x end fraction. fraction numerator sin space straight x over denominator cos space straight x end fraction minus 2 straight x minus space 2 space tan space straight x plus 2 straight x
space space space space space space space space space space space space space equals 2 space tan space straight x minus 2 straight x minus 2 space tan space straight x plus 2 straight x
space space space space space space space space space space space space space equals 0 equals straight R. straight H. straight S.
88 Views

Advertisement
Advertisement